Open Access

Fig. 7

image

Download original image

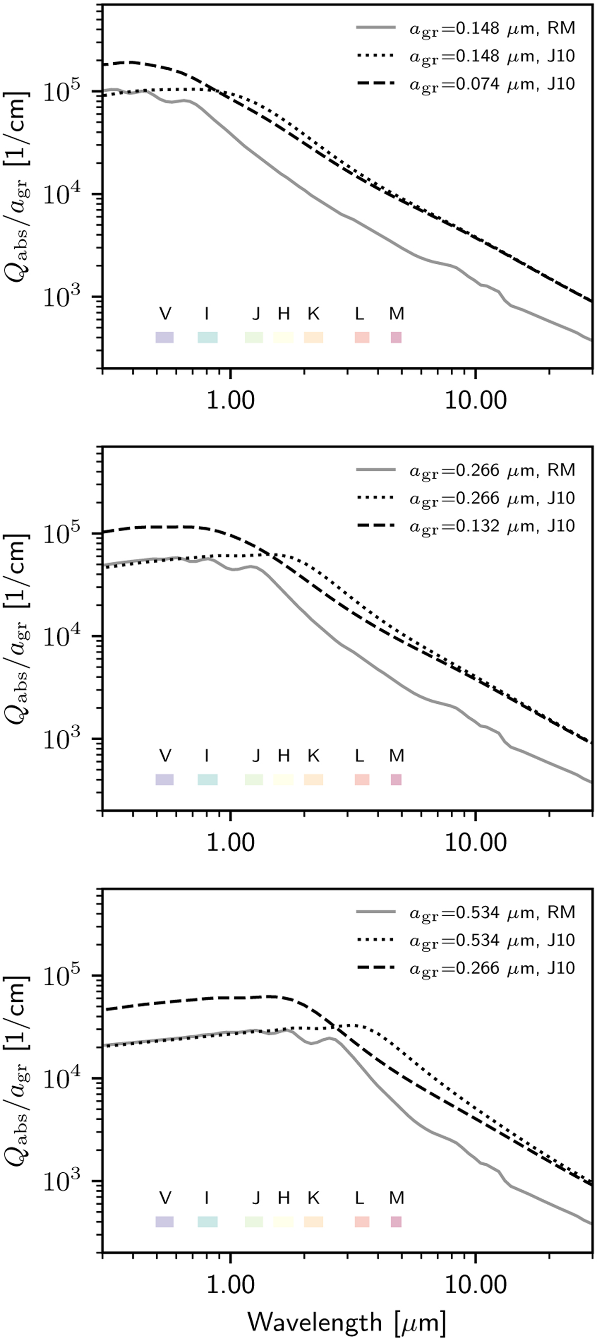
Qabs/agr as a function of wavelength for RM (solid line) and J10 (dashed and dotted) optical data sets and several grain sizes as indicated in the legend. See text for details.

Current usage metrics show cumulative count of Article Views (full-text article views including HTML views, PDF and ePub downloads, according to the available data) and Abstracts Views on Vision4Press platform.

Data correspond to usage on the plateform after 2015. The current usage metrics is available 48-96 hours after online publication and is updated daily on week days.

Initial download of the metrics may take a while.