Open Access

Fig. 4.

image

Download original image

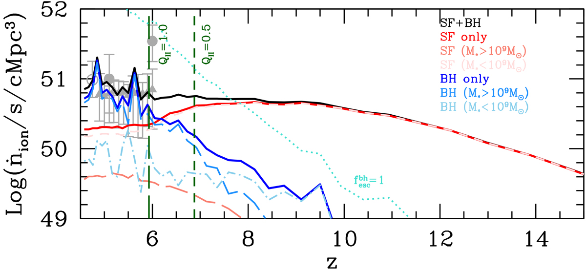
Redshift evolution of the escape rate of ionizing photons from star-forming galaxies and AGN, weighted over the volume-filling fraction to account for the effects of reionization feedback (Eq. (5)). The dotted line shows the maximum AGN contribution assuming fescbh = 1. We also show the total contribution deconstructed into sources with stellar masses above and below 109 M, as marked. Points show the observational results from Becker & Bolton (2013, empty circles), Becker et al. (2021, filled circles) and Gaikwad et al. (2023, filled triangles). The vertical short-dashed (long-dashed) line shows the redshift at which the IGM is half (fully) ionized, i.e., QII = 0.5 (1), as marked.

Current usage metrics show cumulative count of Article Views (full-text article views including HTML views, PDF and ePub downloads, according to the available data) and Abstracts Views on Vision4Press platform.

Data correspond to usage on the plateform after 2015. The current usage metrics is available 48-96 hours after online publication and is updated daily on week days.

Initial download of the metrics may take a while.