Euclid on Sky
Open Access

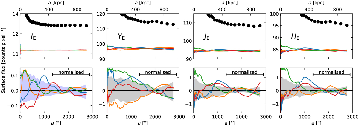
Fig. B.2

image

Download original image

Residual background constant and the background uncertainties of the surface flux profiles. The black dots in the upper panels are the surface flux profiles of NGC 1275. The coloured lines are four randomly selected background surface flux profiles in Abell 2764, except for the bottom left panel, where we show profiles measured on the WISE 12 µm map for Perseus. Shades in the lower panels mark the 16th and 84th percentiles. One count in IE (YE, JE, HE) corresponds to 27.4 (25.1) mag arcsec−2.

Current usage metrics show cumulative count of Article Views (full-text article views including HTML views, PDF and ePub downloads, according to the available data) and Abstracts Views on Vision4Press platform.

Data correspond to usage on the plateform after 2015. The current usage metrics is available 48-96 hours after online publication and is updated daily on week days.

Initial download of the metrics may take a while.