Euclid on Sky
Open Access

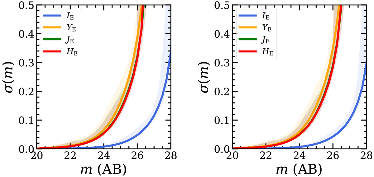
Fig. 4

image

Download original image

Photometric errors as a function of the magnitude for all sources in the catalog for A2390 (left) and A2764 (right). Each curve represents the median error for each VIS and NISP band, and the corresponding shaded area is the 1σ dispersion. The error measurements are described in Sect. 4.1.

Current usage metrics show cumulative count of Article Views (full-text article views including HTML views, PDF and ePub downloads, according to the available data) and Abstracts Views on Vision4Press platform.

Data correspond to usage on the plateform after 2015. The current usage metrics is available 48-96 hours after online publication and is updated daily on week days.

Initial download of the metrics may take a while.