Euclid on Sky
Open Access

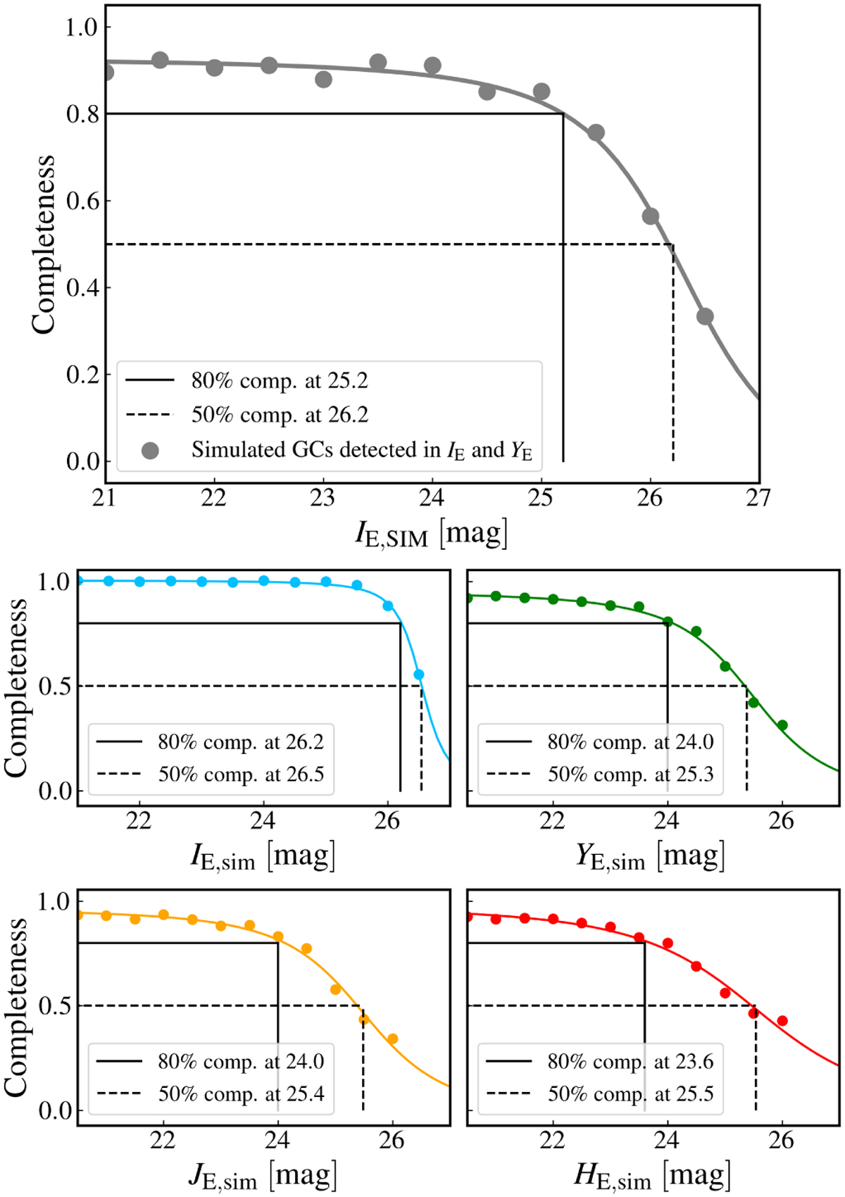
Fig. 3

image

Download original image

Completeness expected in the ERO-Fornax catalogue data based on artificial GCs. Top panel: combined completeness for sources detected in both IE and YE as a function of simulated input IE magnitude. Bottom: detection completeness in the four individual filters as a function of the respective input magnitude. For old GCs (older than 7 Gyr) with sub-solar metallicities (Z < 0.02), the GCLF turn-over magnitude is expected to be at IE = 23.5.

Current usage metrics show cumulative count of Article Views (full-text article views including HTML views, PDF and ePub downloads, according to the available data) and Abstracts Views on Vision4Press platform.

Data correspond to usage on the plateform after 2015. The current usage metrics is available 48-96 hours after online publication and is updated daily on week days.

Initial download of the metrics may take a while.