Euclid on Sky
Open Access

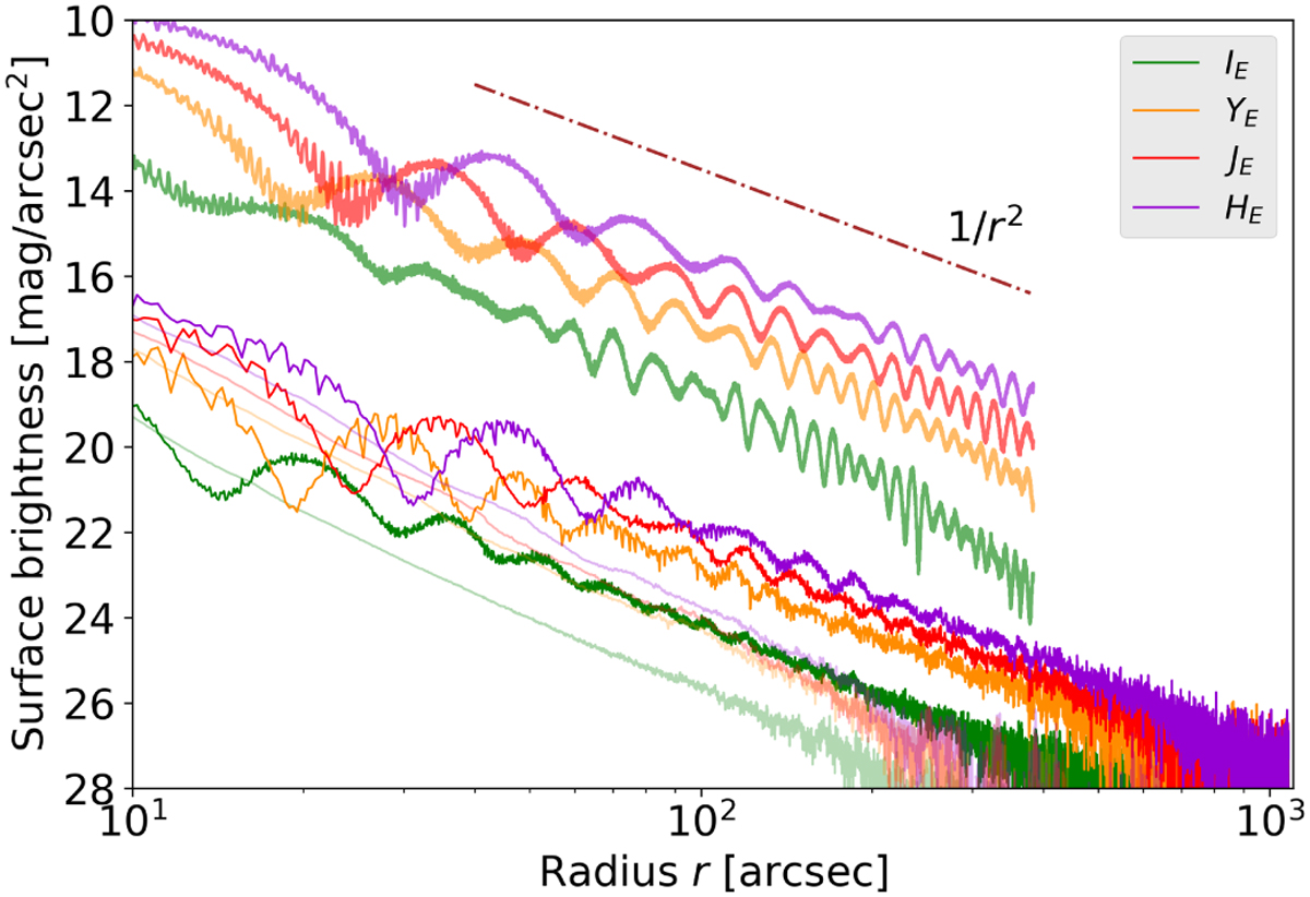
Fig. 28

image

Download original image

Profiles of Euclid’s diffraction spikes. Diffraction spikes of the star HD 1973 analysed through photometric extraction profiles (at the bottom) juxtaposed with the star’s halo profile in a corresponding lighter shade (as illustrated in Fig. 26). This comparison highlights the pronounced dominance of spike brightness over the halo, becoming evident beyond a radius of a few arcseconds. Additionally, a simulation of the four spikes extending to a 400ʺ radius (with matching colours, and the HE-band arbitrarily set to μ0 = 10 for the purposes of this plot) corroborates the relative surface brightness of the spikes as observed across the four Euclid bands. Unlike the halo that adheres more closely to a 1/r3 function consistent with the Bessel envelope at high radius, the spike profiles, as anticipated, approximate a 1/r2 function.

Current usage metrics show cumulative count of Article Views (full-text article views including HTML views, PDF and ePub downloads, according to the available data) and Abstracts Views on Vision4Press platform.

Data correspond to usage on the plateform after 2015. The current usage metrics is available 48-96 hours after online publication and is updated daily on week days.

Initial download of the metrics may take a while.