Euclid on Sky
Open Access

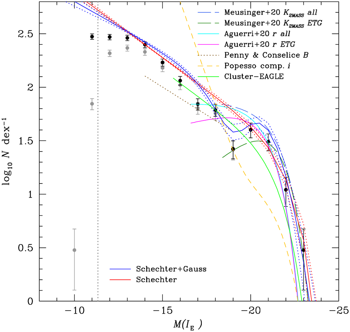
Fig. 26

image

Download original image

Observed (grey dots) and corrected for completeness (black dots) IE-band LF derived excluding the three cD galaxies NGC 1275, NGC 1272, and NGC 1265. The solid red and blue lines and the associated dotted lines show the best-fit and 1 σ confidence regions of the Schechter and Schechter + Gaussian LF parametrisations, respectively. The vertical grey dashed line shows the 50% completeness limit. The two LFs are compared to those available in the literature for the Perseus cluster in the K band (Meusinger et al. 2020), in the r band (Aguerri et al. 2020), and in the B band (Penny & Conselice 2008), to the mean i-band LF of SDSS local clusters derived by Popesso et al. (2005) within 0.5 h−1 Mpc from the cluster centre, and to the Cluster-EAGLE simulations (Negri et al. 2022). The LFs of Perseus have been derived on different fractions of the cluster. They have been shifted to the IE band using the mean colour of galaxies in the cluster, and in the Y-axis direction to visually match the data. The best fit parameters are given in Table 3.

Current usage metrics show cumulative count of Article Views (full-text article views including HTML views, PDF and ePub downloads, according to the available data) and Abstracts Views on Vision4Press platform.

Data correspond to usage on the plateform after 2015. The current usage metrics is available 48-96 hours after online publication and is updated daily on week days.

Initial download of the metrics may take a while.