Euclid on Sky
Open Access

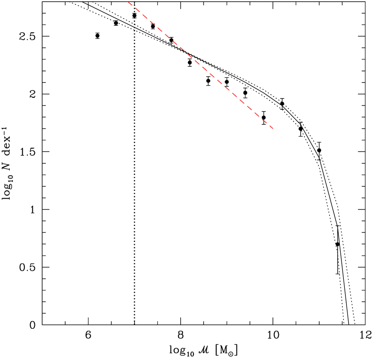
Fig. 27

image

Download original image

SMF derived excluding the three cD galaxies NGC 1275, NGC 1272, and NGC 1265. The solid black and dotted black lines show the best-fit and ±1 σ confidence regions of the Schechter SMF parametrisation. The red dashed line, which is a reasonably good fit to the slope of the faint end of the distribution, has α = −1.35. The vertical grey dashed line shows the stellar mass limit used in the fit. The best-fit parameters are given in Table 4.

Current usage metrics show cumulative count of Article Views (full-text article views including HTML views, PDF and ePub downloads, according to the available data) and Abstracts Views on Vision4Press platform.

Data correspond to usage on the plateform after 2015. The current usage metrics is available 48-96 hours after online publication and is updated daily on week days.

Initial download of the metrics may take a while.