Open Access

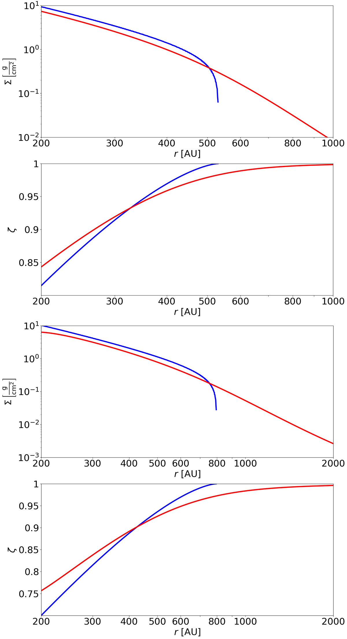
Fig. 13.

image

Download original image

Σ(r) and ζ(r) functions for discs arising from the collapse of a slightly supercritical (K = 15) BE sphere with β = 0.02 (upper panel) and β = 0.03 (lower panel). The red curves correspond to calculations presented in this paper, the blue ones correspond to the ‘Keplerian’ infall model.

Current usage metrics show cumulative count of Article Views (full-text article views including HTML views, PDF and ePub downloads, according to the available data) and Abstracts Views on Vision4Press platform.

Data correspond to usage on the plateform after 2015. The current usage metrics is available 48-96 hours after online publication and is updated daily on week days.

Initial download of the metrics may take a while.