Euclid on Sky
Open Access

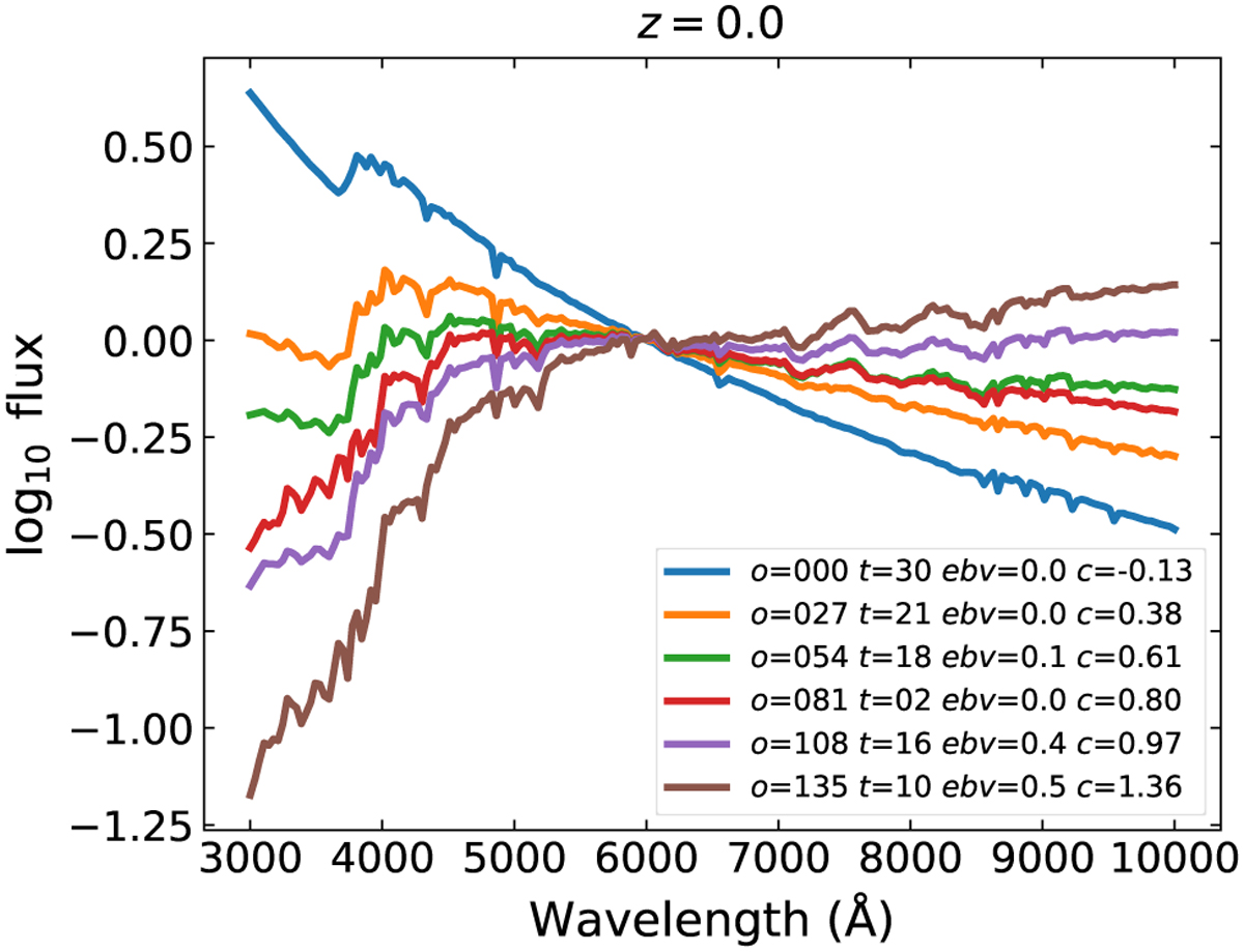
Fig. 18

image

Download original image

Subset of six SED templates out of the 136 described in the text at redshift z = 0.0. The templates are normalised to have the same flux at a wavelength of 6000 Å. The figure inset indicates the colour-ordered template number (o), the original template number in Ilbert et al. (2009) (t), the E(BV) reddening value applied to the template (ebv), and the value of the g01 − r01 colour (c).

Current usage metrics show cumulative count of Article Views (full-text article views including HTML views, PDF and ePub downloads, according to the available data) and Abstracts Views on Vision4Press platform.

Data correspond to usage on the plateform after 2015. The current usage metrics is available 48-96 hours after online publication and is updated daily on week days.

Initial download of the metrics may take a while.