Euclid on Sky
Open Access

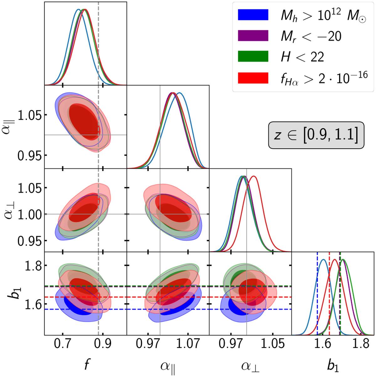
Fig. 41

image

Download original image

Inferred cosmological parameters (redshift-space f and AP parameters) for the four samples, together with linear bias b1, in the redshift bin [0.9,1.1]. As in Fig. 40, the absolute magnitude-limited sample, Mr − 5 log10 h < −20, contours in magenta are hardly seen as they are very similar and are below the magnitude-limited sample, HE < 22, contours in green.

Current usage metrics show cumulative count of Article Views (full-text article views including HTML views, PDF and ePub downloads, according to the available data) and Abstracts Views on Vision4Press platform.

Data correspond to usage on the plateform after 2015. The current usage metrics is available 48-96 hours after online publication and is updated daily on week days.

Initial download of the metrics may take a while.