Euclid on Sky
Open Access

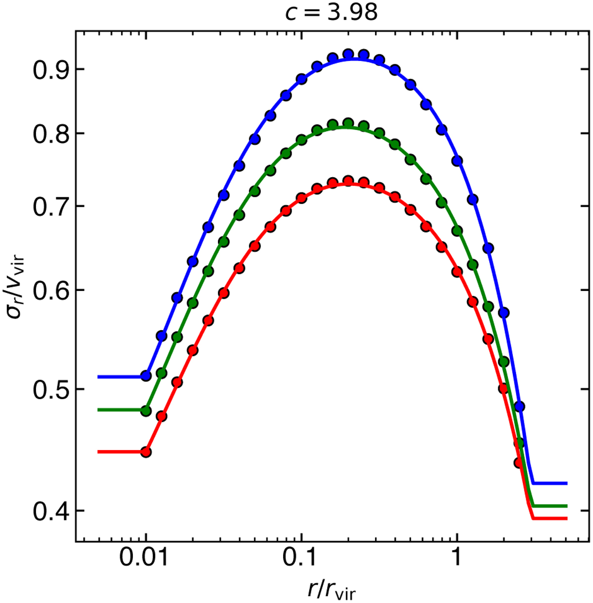
Fig. C.1

image

Download original image

Adopted model for the radial velocity dispersion profiles in virial units, for the case of dark matter concentration of 4, for the three galaxy classes. The symbols indicate the exact values, while the curves indicate the 2D-fifth-order polynomial approximations used in the Flagship. One clearly sees the adopted constant values beyond the fit limits of r/rvir.

Current usage metrics show cumulative count of Article Views (full-text article views including HTML views, PDF and ePub downloads, according to the available data) and Abstracts Views on Vision4Press platform.

Data correspond to usage on the plateform after 2015. The current usage metrics is available 48-96 hours after online publication and is updated daily on week days.

Initial download of the metrics may take a while.