Open Access

Fig. E.2

image

Download original image

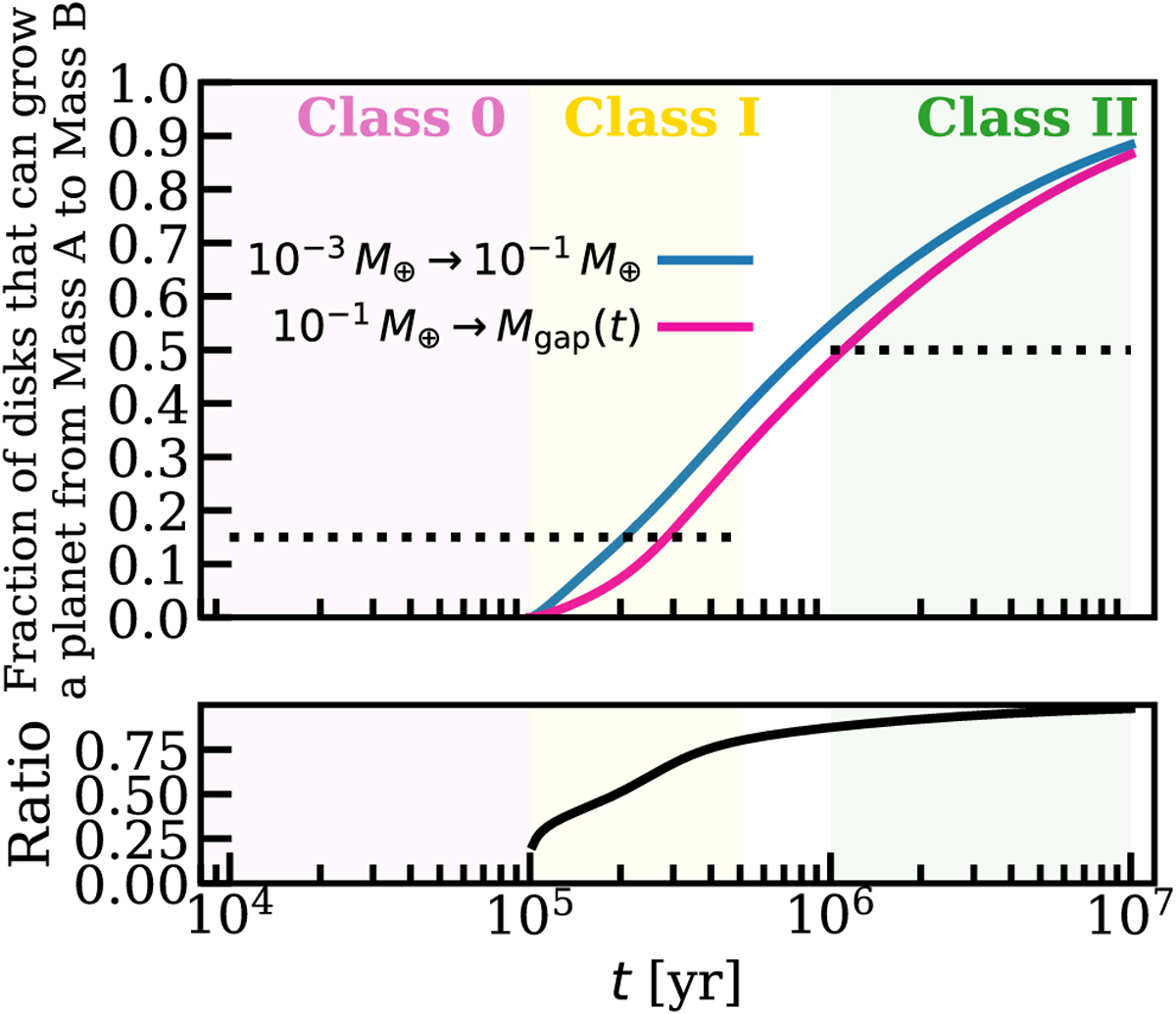
Comparison between the fraction of disks which can grow planets through the 3D regime (here estimated as 10−3 − 10−1 M) in blue and those that can grow a planet to the gap-opening mass in the 2D regime (here estimated as >10−1 M) in pink (which is the same as the pink line in Fig. 3.)

Current usage metrics show cumulative count of Article Views (full-text article views including HTML views, PDF and ePub downloads, according to the available data) and Abstracts Views on Vision4Press platform.

Data correspond to usage on the plateform after 2015. The current usage metrics is available 48-96 hours after online publication and is updated daily on week days.

Initial download of the metrics may take a while.