Open Access

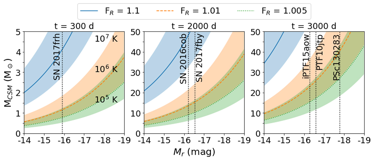
Fig. 6.

image

Download original image

MCSM as a function of the r-band absolute magnitude M for different assumptions of t (panels), T (shaded region), and FR (colours). The five objects for which we estimate MCSM in Sect. 4.4 have been marked in the panel that has t the closest to the detected signal. Decreasing shell thickness and temperature to mitigate MCSM is effective, though there is a limit to how far this can be done while keeping realistic values for FR.

Current usage metrics show cumulative count of Article Views (full-text article views including HTML views, PDF and ePub downloads, according to the available data) and Abstracts Views on Vision4Press platform.

Data correspond to usage on the plateform after 2015. The current usage metrics is available 48-96 hours after online publication and is updated daily on week days.

Initial download of the metrics may take a while.