Open Access

Fig. 11.

image

Download original image

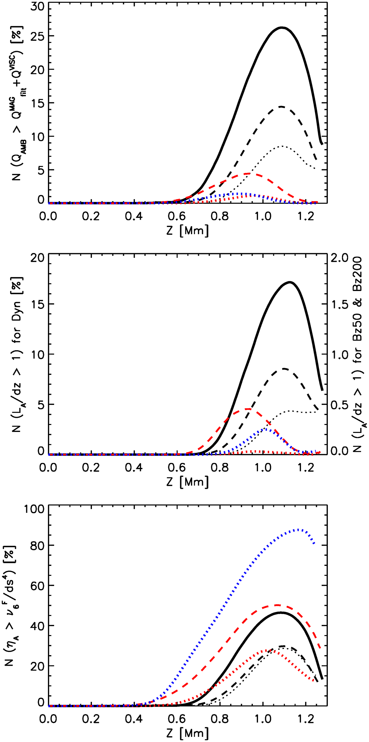
Top: Percentage of the spatial locations where the condition Q AMB > Q filt VISC + Q hyp VISC + Q filt MAG $ Q_{\rm AMB} >Q^{\rm VISC}_{\rm filt}+Q^{\rm VISC}_{\rm hyp} + Q^{\rm MAG}_{\rm filt} $ is fulfilled for the different models, shown as a function of height. Black lines are for Dyn model, red for Bz50 model, and blue for Bz200 model. The solid thick line is for 5 km resolution, the dashed medium-thick line is for 10 km resolution, and the dotted thin line is for 20 km resolution. Middle: Same as top panel but for LAz. Bottom: Same as top panel but for η A > ν 6 F / Δ s 4 $ \eta _{\rm A} >\nu _6^F/\Delta s^4 $.

Current usage metrics show cumulative count of Article Views (full-text article views including HTML views, PDF and ePub downloads, according to the available data) and Abstracts Views on Vision4Press platform.

Data correspond to usage on the plateform after 2015. The current usage metrics is available 48-96 hours after online publication and is updated daily on week days.

Initial download of the metrics may take a while.