Open Access

Fig. 9.

image

Download original image

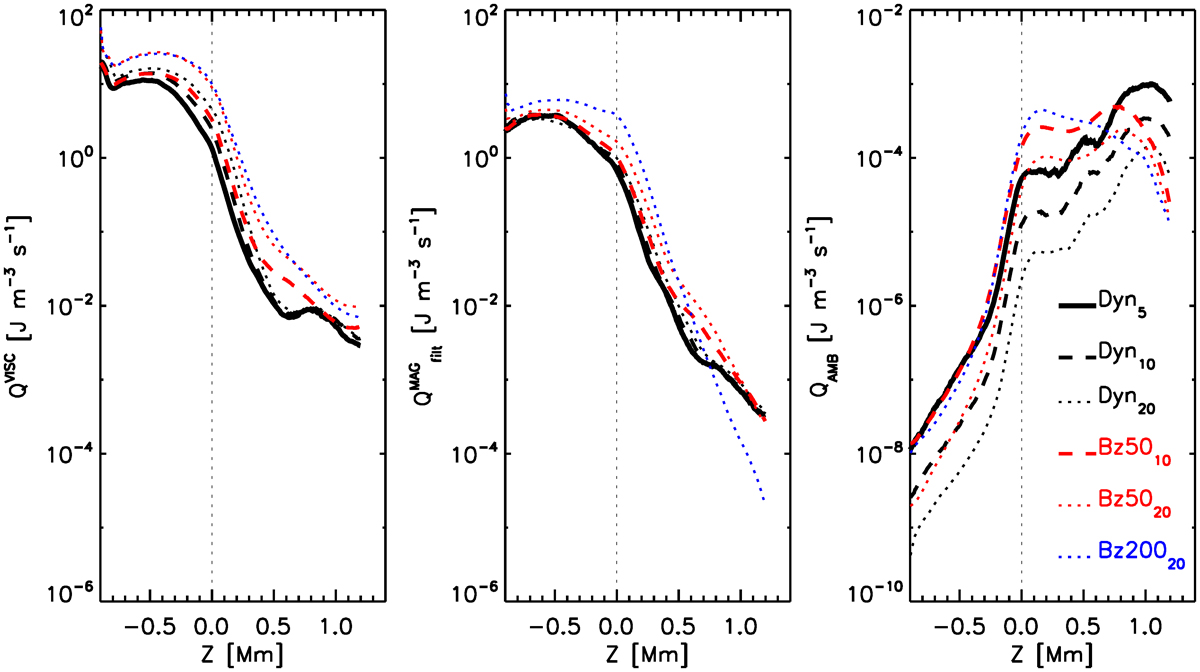
Horizontally and temporally averaged values of the sum of viscous heating terms, Q filt VISC + τ : v $ Q^{\rm VISC}_{\rm filt}+\boldsymbol {\tau }:\nabla \boldsymbol {v} $ (left); magnetic heating terms, Q filt MAG $ Q^{\rm MAG}_{\rm filt} $ (middle); and the ambipolar heating term, Eq. (4) (right), as functions of height. The meaning of the curves is indicated in the figure. We note the difference in scale at the vertical axis.

Current usage metrics show cumulative count of Article Views (full-text article views including HTML views, PDF and ePub downloads, according to the available data) and Abstracts Views on Vision4Press platform.

Data correspond to usage on the plateform after 2015. The current usage metrics is available 48-96 hours after online publication and is updated daily on week days.

Initial download of the metrics may take a while.