Open Access

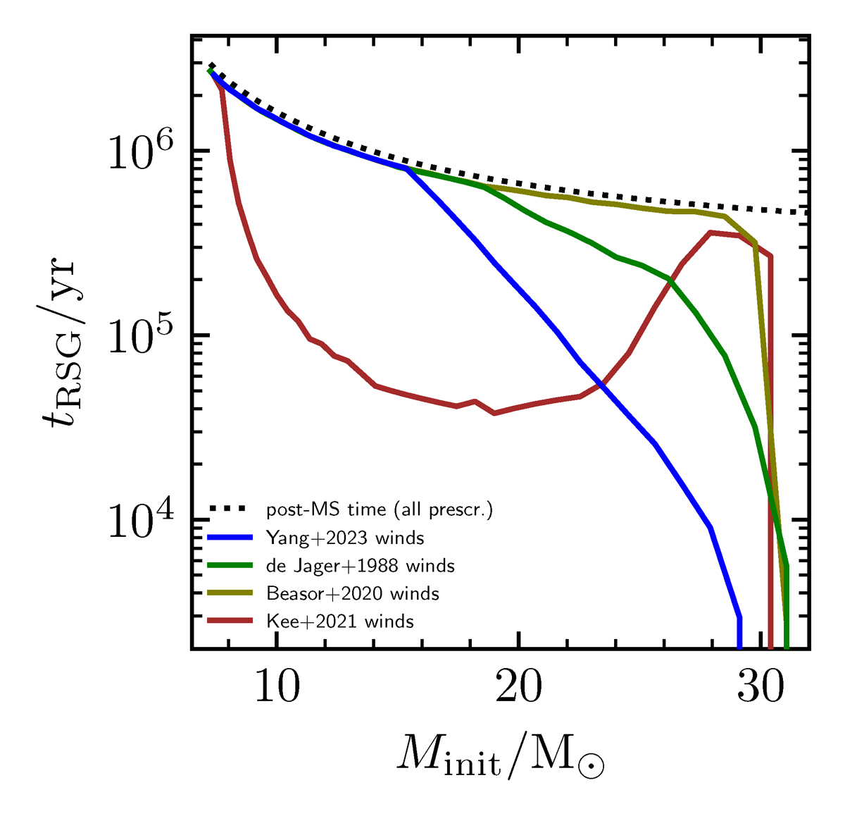
Fig. B.1.

image

Download original image

Absolute time spent during the RSG phase, as a function of initial mass of our mdoels, for different implemented mass-loss prescriptions. We also show the total post-MS lifetime (dotted line), found almost independent of the mass loss during the RSG phase.

Current usage metrics show cumulative count of Article Views (full-text article views including HTML views, PDF and ePub downloads, according to the available data) and Abstracts Views on Vision4Press platform.

Data correspond to usage on the plateform after 2015. The current usage metrics is available 48-96 hours after online publication and is updated daily on week days.

Initial download of the metrics may take a while.