Open Access

Fig. 2.

image

Download original image

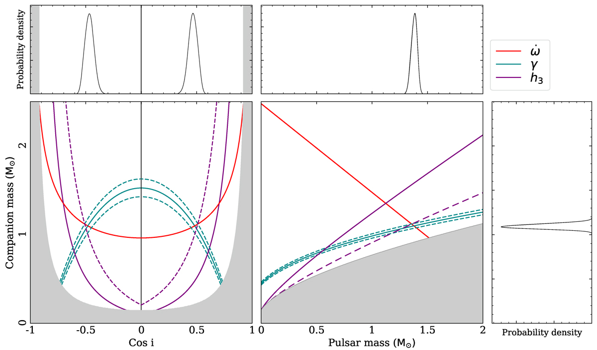
Orbital inclination and mass constraints for NGC 1851A. The solid and dotted lines represent the nominal values and 1-σ constraints for the post-Keplerian parameters (red: ω ˙ $ \dot{\omega} $, cyan: γ, purple: h3) obtained with the DDH binary model. Bottom left plot: cos i versus the companion mass (Mc); Bottom right plot: Pulsar mass (Mp) versus Mc. The grey portions on the two plots indicate the regions excluded for Mp < 0 and sin i > 1 respectively. The normalised 1-D pdfs for cos i, Mp and Mc are shown in the top left, top right, and right panels.

Current usage metrics show cumulative count of Article Views (full-text article views including HTML views, PDF and ePub downloads, according to the available data) and Abstracts Views on Vision4Press platform.

Data correspond to usage on the plateform after 2015. The current usage metrics is available 48-96 hours after online publication and is updated daily on week days.

Initial download of the metrics may take a while.