Open Access

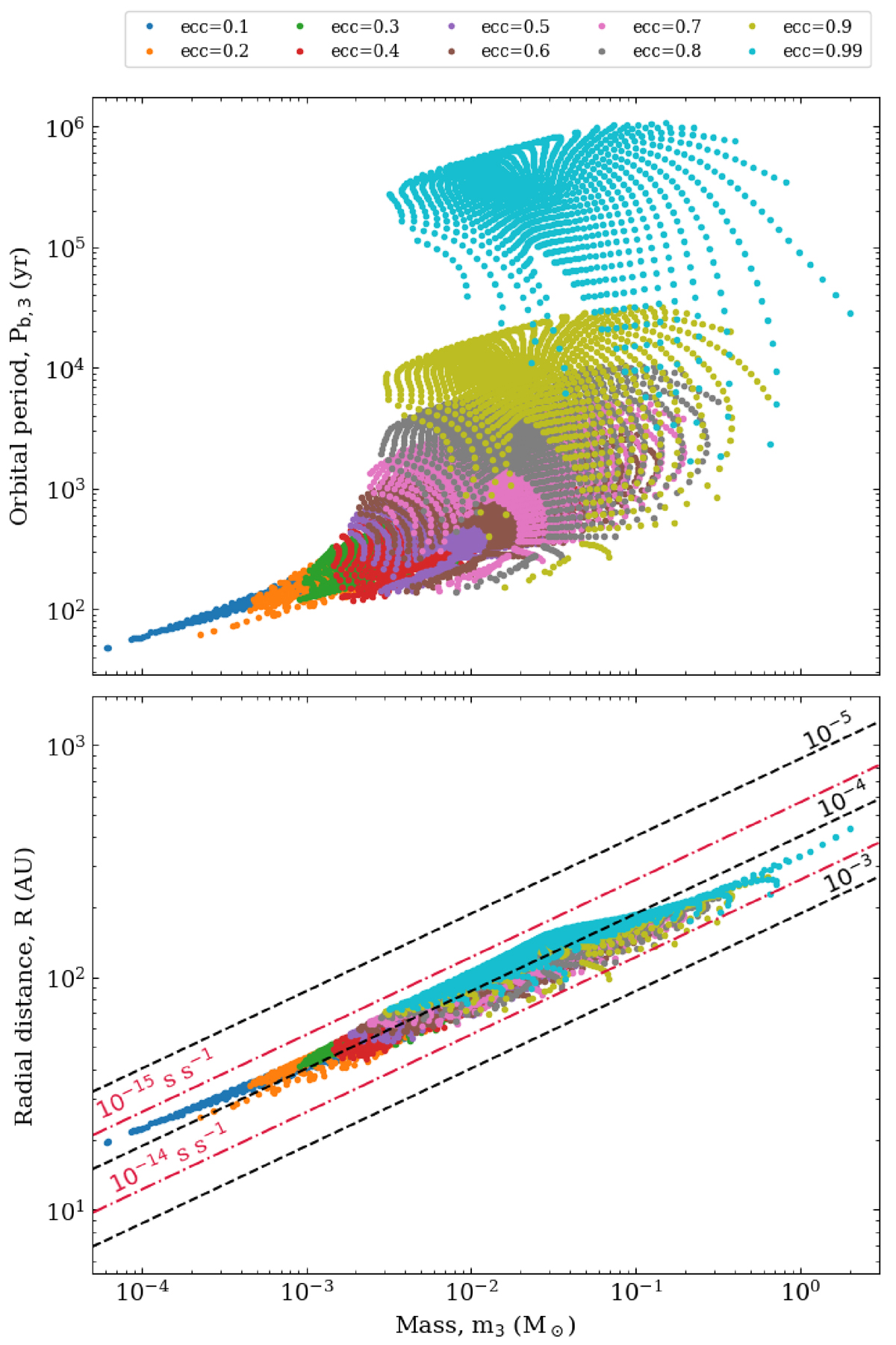
Fig. 6.

image

Download original image

Family of solutions for the mass m3, orbital period Pb, 3, and relative distance R for a second companion of NGC 1851A using the limits on all the frequency derivatives mentioned in the text. The different eccentricities are shown in different colours. The constant lines of ω ˙ tidal / ω ˙ obs $ \dot\omega_{\mathrm{tidal}}/\dot\omega_{\mathrm{obs}} $ are shown with dotted black lines in the bottom plot, while the dash-dotted crimson lines indicate constant tidal.

Current usage metrics show cumulative count of Article Views (full-text article views including HTML views, PDF and ePub downloads, according to the available data) and Abstracts Views on Vision4Press platform.

Data correspond to usage on the plateform after 2015. The current usage metrics is available 48-96 hours after online publication and is updated daily on week days.

Initial download of the metrics may take a while.