Open Access

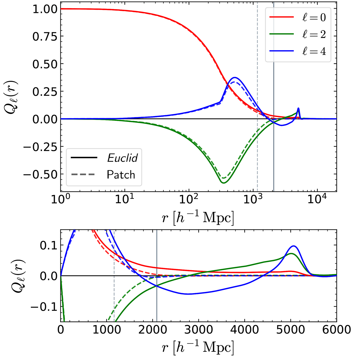
Fig. 11.

image

Download original image

2PCF multipoles of the window function for the EWSS (solid) in the redshift bin z ∈ (1.1, 1.3) and for the single patch (dashed) shown in Fig. 3 in the same redshift range. The vertical lines indicate the characteristic length scale V1/3 for the two surveys. The bottom panel offers a more detailed view of the large-scale behaviour of the functions.

Current usage metrics show cumulative count of Article Views (full-text article views including HTML views, PDF and ePub downloads, according to the available data) and Abstracts Views on Vision4Press platform.

Data correspond to usage on the plateform after 2015. The current usage metrics is available 48-96 hours after online publication and is updated daily on week days.

Initial download of the metrics may take a while.