Open Access

Fig. 6.

image

Download original image

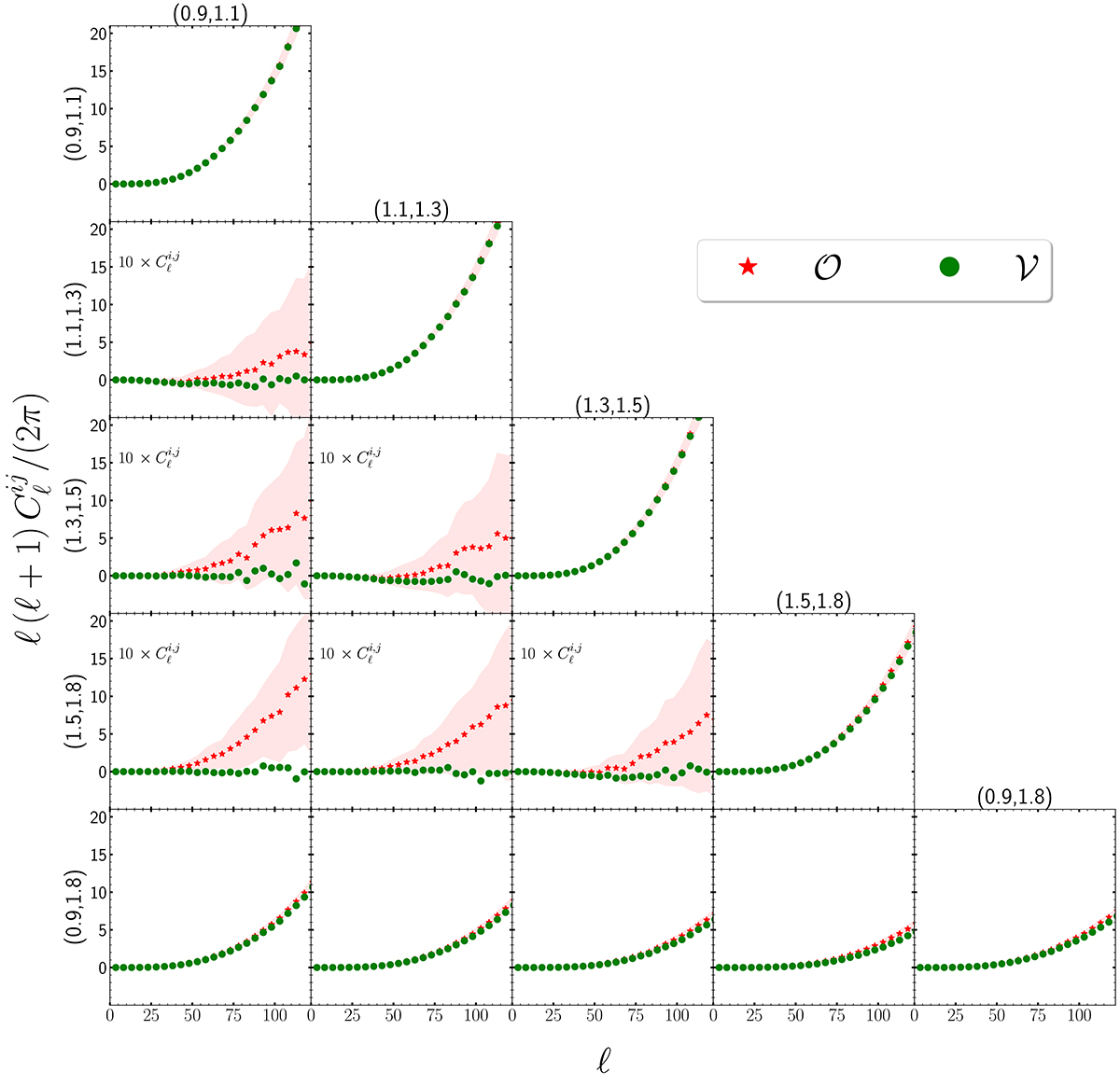
Mean auto-and cross-angular power spectra extracted from the 𝒪 (red stars) and 𝒱 (green circles) mocks. The shaded region indicates the RMS scatter of the 𝒪 spectra. The panels are ordered as the entries in Tables 1 and 2. The cross-spectra of the tomographic redshift bins are multiplied by ten to improve the readability of the figure.

Current usage metrics show cumulative count of Article Views (full-text article views including HTML views, PDF and ePub downloads, according to the available data) and Abstracts Views on Vision4Press platform.

Data correspond to usage on the plateform after 2015. The current usage metrics is available 48-96 hours after online publication and is updated daily on week days.

Initial download of the metrics may take a while.