Open Access

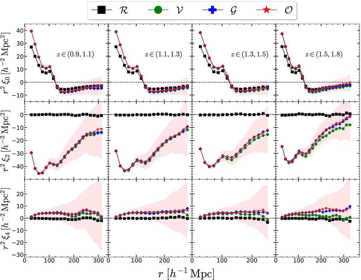
Fig. 7.

image

Download original image

Mean  = 0, 2, and 4 multipoles of the 2PCF measured from the ℛ (black squares), 𝒱 (green circles), 𝒢 (blue crosses), and 𝒪 (red stars) mocks in the four tomographic redshift bins. The shaded areas highlight the RMS scatter among the 𝒪 light cones.

Current usage metrics show cumulative count of Article Views (full-text article views including HTML views, PDF and ePub downloads, according to the available data) and Abstracts Views on Vision4Press platform.

Data correspond to usage on the plateform after 2015. The current usage metrics is available 48-96 hours after online publication and is updated daily on week days.

Initial download of the metrics may take a while.