Open Access

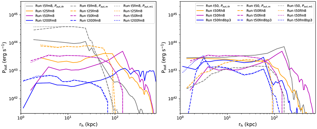
Fig. 6.

image

Download original image

Thermal pressure power (solid lines), Maxwell stress power (dashed lines), and magnetic pressure power (dotted lines), calculated using Eqs. (10)–(12), varying with the traveling distance of lobes. Different colors represent the two sets of runs discussed in Sect. 4.1.

Current usage metrics show cumulative count of Article Views (full-text article views including HTML views, PDF and ePub downloads, according to the available data) and Abstracts Views on Vision4Press platform.

Data correspond to usage on the plateform after 2015. The current usage metrics is available 48-96 hours after online publication and is updated daily on week days.

Initial download of the metrics may take a while.