Open Access

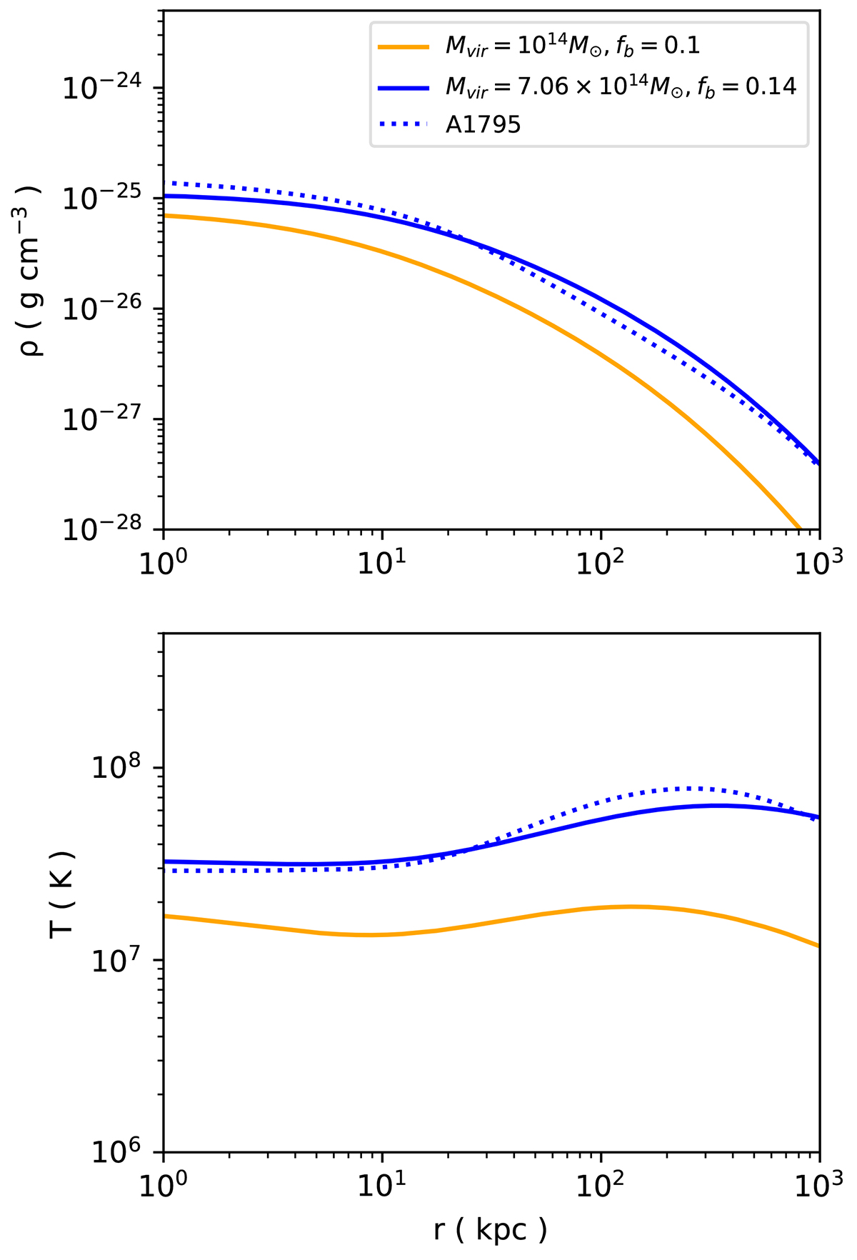
Fig. A.1.

image

Download original image

Profiles of density and temperature for virial masses (Mvir) of 1014 M (solid orange lines, fb = 0.1, adopted in this work) and 7.06 × 1014 M (solid blue lines, fb = 0.14). The latter is contrasted with the fitting results of galaxy cluster A1795 (dashed blue line; Guo et al. 2018).

Current usage metrics show cumulative count of Article Views (full-text article views including HTML views, PDF and ePub downloads, according to the available data) and Abstracts Views on Vision4Press platform.

Data correspond to usage on the plateform after 2015. The current usage metrics is available 48-96 hours after online publication and is updated daily on week days.

Initial download of the metrics may take a while.