Open Access

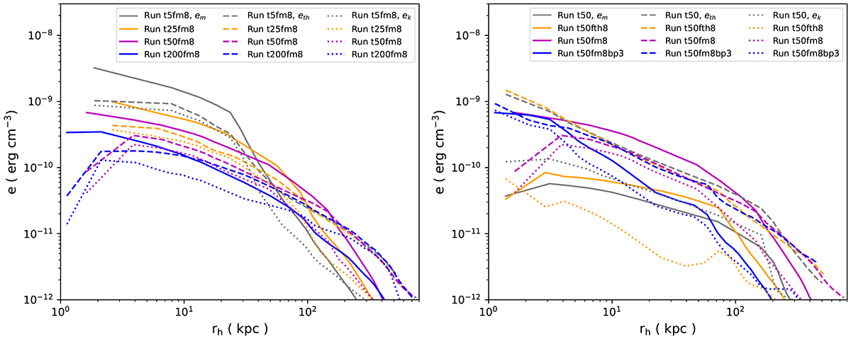
Fig. C.1.

image

Download original image

Volume-averaged energy density of different energy components varying with the traveling distance of lobes in the two sets of runs discussed in Sect. 4.2. Different colors represent different runs, whereas the dotted, dashed, and solid lines signify kinetic, thermal, and magnetic energy densities, respectively.

Current usage metrics show cumulative count of Article Views (full-text article views including HTML views, PDF and ePub downloads, according to the available data) and Abstracts Views on Vision4Press platform.

Data correspond to usage on the plateform after 2015. The current usage metrics is available 48-96 hours after online publication and is updated daily on week days.

Initial download of the metrics may take a while.