Open Access

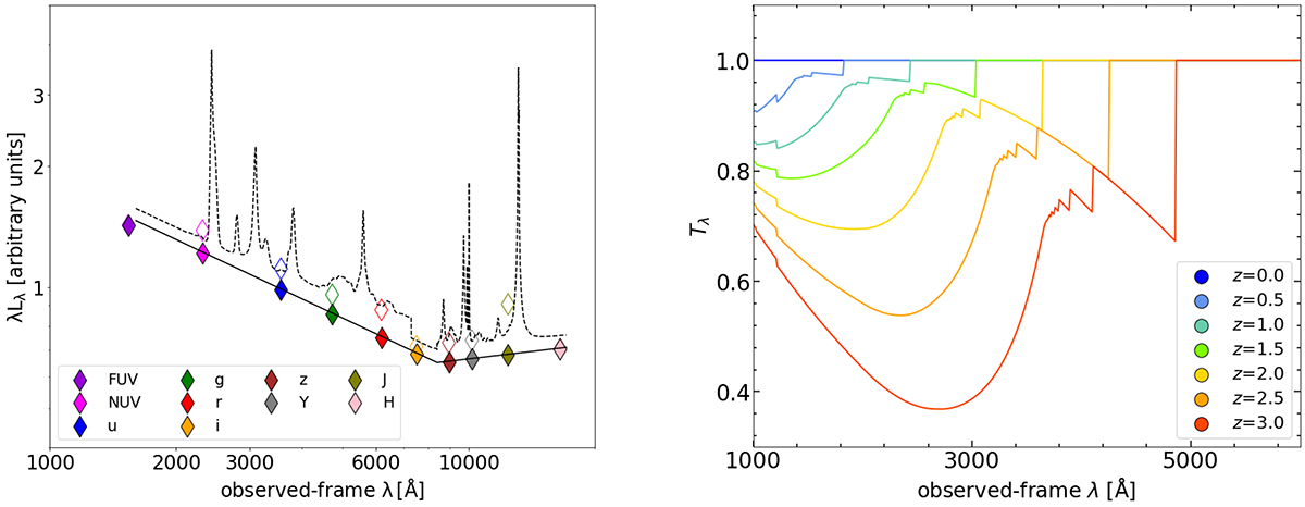
Fig. 3.

image

Download original image

Left: Pass-band integrated luminosity of the template with (empty diamonds) and without (filled diamonds) emission lines for a z = 1.0 quasar, according to the Vanden Berk (2001) template. Right: IGM transmission curves at different redshifts colour-coded as described in the legend.

Current usage metrics show cumulative count of Article Views (full-text article views including HTML views, PDF and ePub downloads, according to the available data) and Abstracts Views on Vision4Press platform.

Data correspond to usage on the plateform after 2015. The current usage metrics is available 48-96 hours after online publication and is updated daily on week days.

Initial download of the metrics may take a while.