Open Access

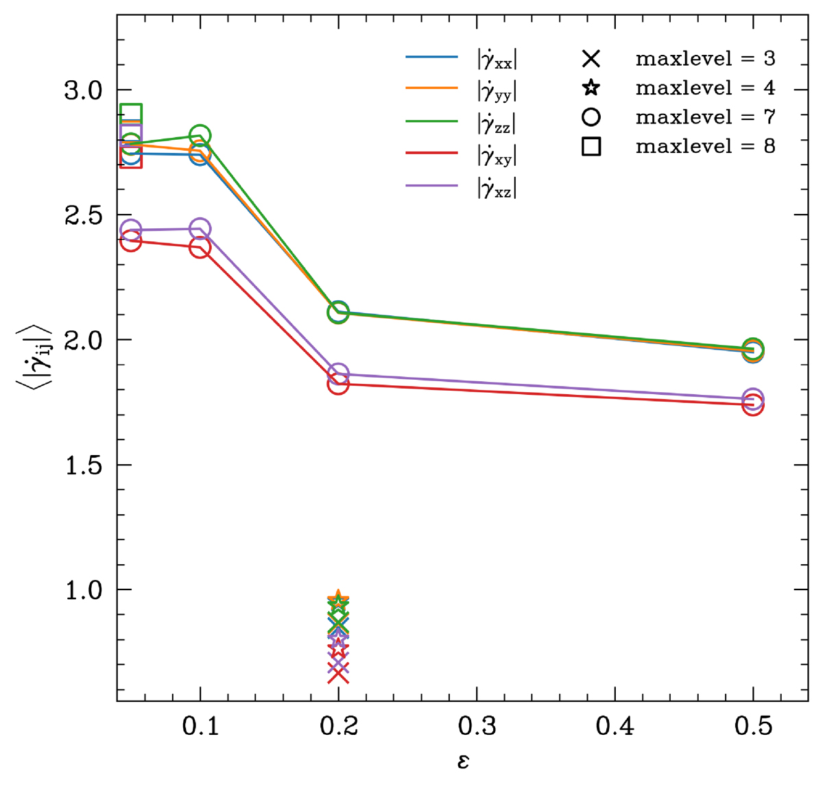
Fig. 14.

image

Download original image

Volume- and time-averaged absolute shear rate within a cube of side length 2ab centered on the binary's center of mass, averaged over the last 50 orbital periods for simulations with q=1 and fixed orbital separation, as a function of the softening radius, ϵ.

Current usage metrics show cumulative count of Article Views (full-text article views including HTML views, PDF and ePub downloads, according to the available data) and Abstracts Views on Vision4Press platform.

Data correspond to usage on the plateform after 2015. The current usage metrics is available 48-96 hours after online publication and is updated daily on week days.

Initial download of the metrics may take a while.