Open Access

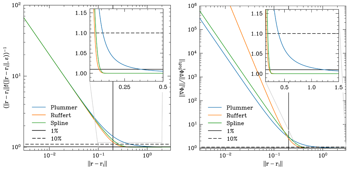
Fig. A.3.

image

Download original image

Left: Ratio between the non-softened gravitational potential and the Plummer- and spline-softened gravitational potentials, as a function of the distance to the core, for ϵ=0.2. Right: Same but for the gravitational torque density associated with one of the two binary components. Horizontal black lines indicate a relative difference of 1% (full line) and 10% (dashed line) with the non-softened value.

Current usage metrics show cumulative count of Article Views (full-text article views including HTML views, PDF and ePub downloads, according to the available data) and Abstracts Views on Vision4Press platform.

Data correspond to usage on the plateform after 2015. The current usage metrics is available 48-96 hours after online publication and is updated daily on week days.

Initial download of the metrics may take a while.