Open Access

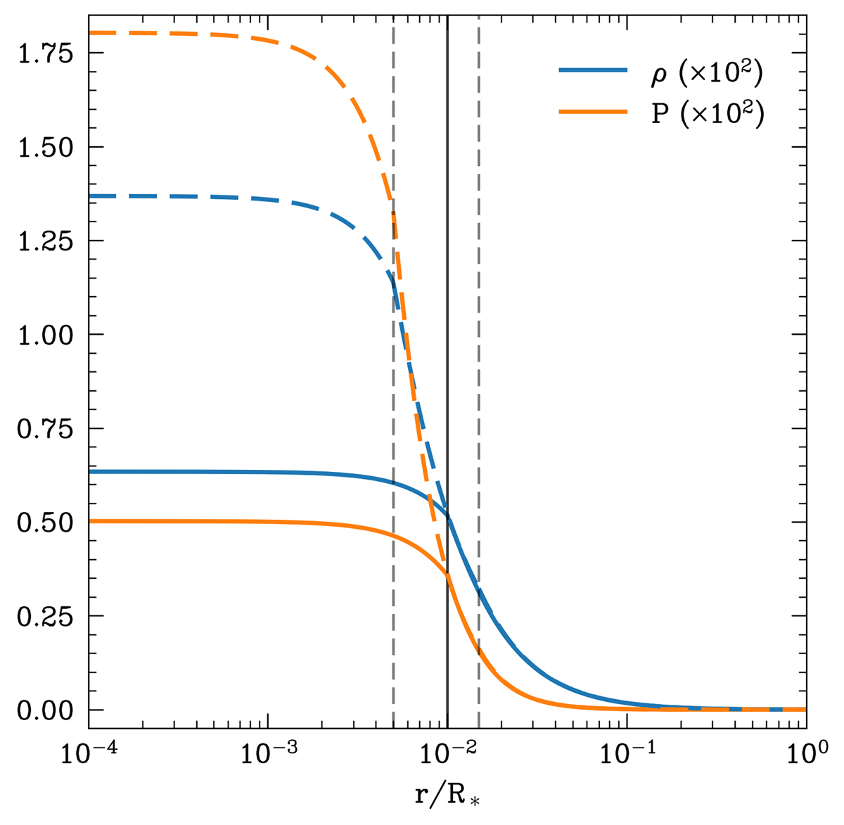
Fig. B.1.

image

Download original image

Initial density and pressure profiles of the envelope for q=1 (full lines) and q=1/3 (dashed lines), obtained from Eqs. B.1, B.8, and B.12. The vertical lines represent the values of r<=min(r1, r2) and r>=max(r1, r2) for q=1 (full lines) and for q=1/3 (dashed lines). When q=1, r1=r2, and thus r>=r<. See Eq. 1 for an example how to scale plotted quantities to physical systems.

Current usage metrics show cumulative count of Article Views (full-text article views including HTML views, PDF and ePub downloads, according to the available data) and Abstracts Views on Vision4Press platform.

Data correspond to usage on the plateform after 2015. The current usage metrics is available 48-96 hours after online publication and is updated daily on week days.

Initial download of the metrics may take a while.