Open Access

Fig. B.1.

image

Download original image

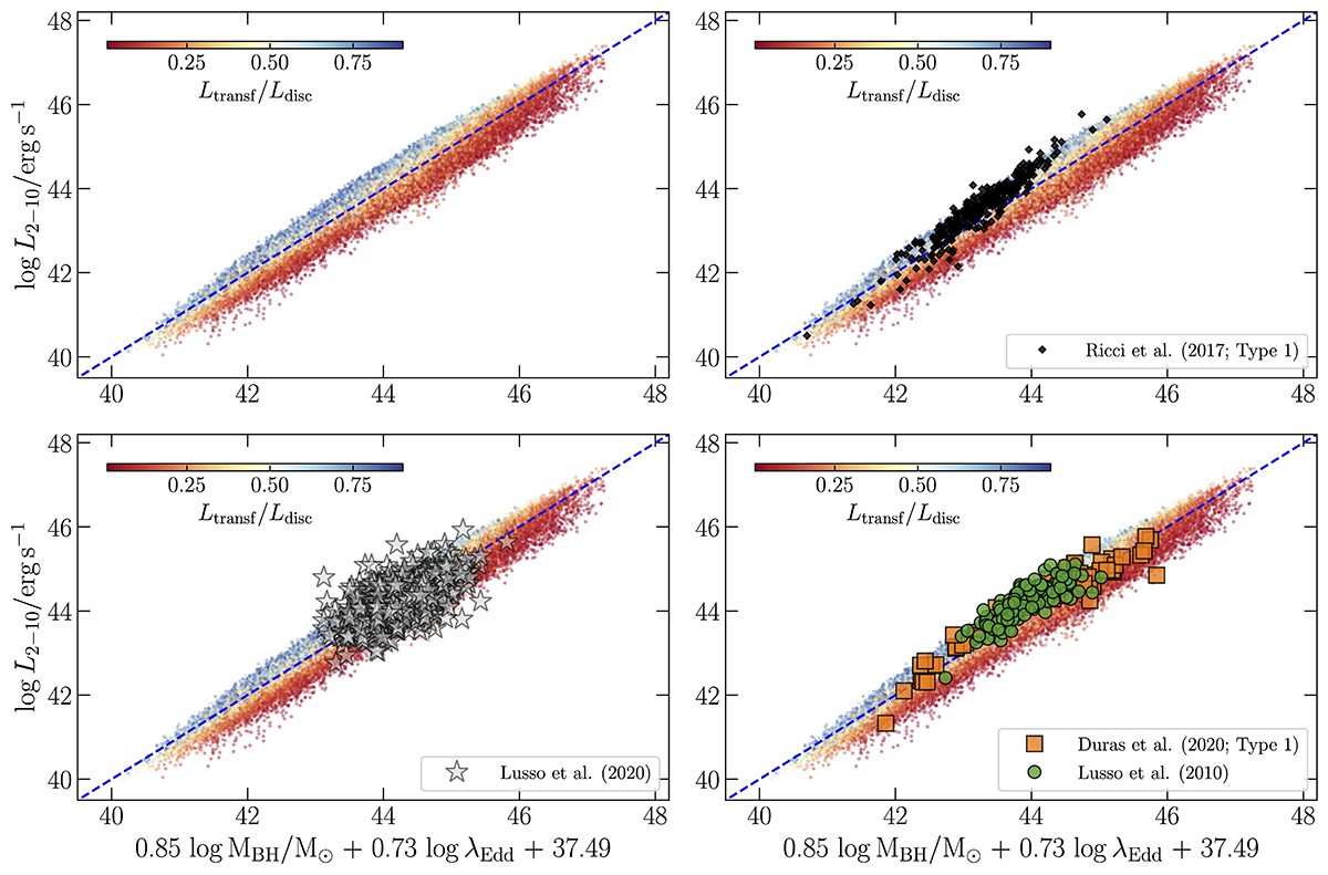
X-ray luminosity as a function of the BH mass and Eddington ratio for the subset of model SEDs that agree with the observed L2 keV-L2500 Å correlation. Colour maps show the distribution in Ltransf/Ldisc. Each of the panels show the data points from the observed samples we consider in this work.

Current usage metrics show cumulative count of Article Views (full-text article views including HTML views, PDF and ePub downloads, according to the available data) and Abstracts Views on Vision4Press platform.

Data correspond to usage on the plateform after 2015. The current usage metrics is available 48-96 hours after online publication and is updated daily on week days.

Initial download of the metrics may take a while.