Open Access

Fig. 7

image

Download original image

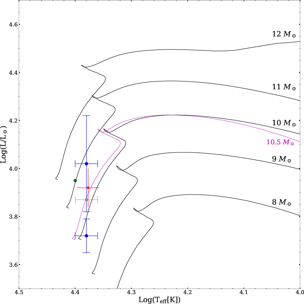
Hertzsprung-Russell diagram for π Aquarii. The solid lines represent the evolutionary tracks of rotating stars with solar metallicity and ω = 0.8, as outlined by Georgy et al. (2013) and Granada et al. (2013), the dash magenta line has an initial M = 10.5 M. The filled red circle denotes the findings from this study. The filled blue circle indicates the luminosity and temperature derived from Zharikov et al. (2013), calculated using varying distances. The filled gray circle corresponds to data from Tsujimoto et al. (2023). The filled green circle corresponds to data from Hohle et al. (2010).

Current usage metrics show cumulative count of Article Views (full-text article views including HTML views, PDF and ePub downloads, according to the available data) and Abstracts Views on Vision4Press platform.

Data correspond to usage on the plateform after 2015. The current usage metrics is available 48-96 hours after online publication and is updated daily on week days.

Initial download of the metrics may take a while.