Open Access

Fig. 3

image

Download original image

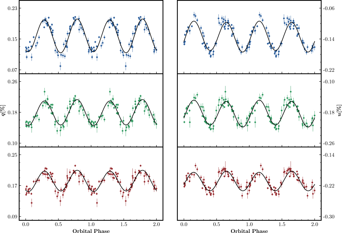
Variability in the observed Stokes parameters q and u for HD 165052 in the B, V, and R passbands (top, middle, and bottom panels, respectively), phase-folded with the orbital period, 2.95510 d. Fourier fit curves (see Sect. 3.3) are shown with solid lines, and the best-fit Fourier coefficients are given in Table 2. The lengths of the bars correspond to ±σ errors.

Current usage metrics show cumulative count of Article Views (full-text article views including HTML views, PDF and ePub downloads, according to the available data) and Abstracts Views on Vision4Press platform.

Data correspond to usage on the plateform after 2015. The current usage metrics is available 48-96 hours after online publication and is updated daily on week days.

Initial download of the metrics may take a while.