Open Access

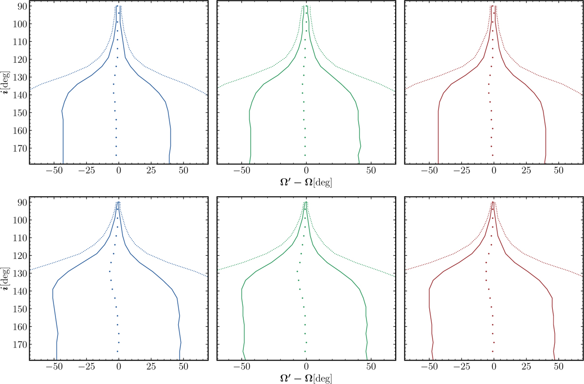
Fig. 7

image

Download original image

Confidence intervals (solid lines for ±1σ, and dotted lines for ±2σ) of Ω for the 2012 dataset (upper panels) with γ values of 185, 70, and 72 for the B, V, and R passbands (left, middle, and right panels, respectively), and for 2023 dataset (lower panels) with γ values of 145,240, and 171. Note that confidence intervals for season 2012 are somewhat narrower due to the larger number of data points and, therefore, better phase coverage.

Current usage metrics show cumulative count of Article Views (full-text article views including HTML views, PDF and ePub downloads, according to the available data) and Abstracts Views on Vision4Press platform.

Data correspond to usage on the plateform after 2015. The current usage metrics is available 48-96 hours after online publication and is updated daily on week days.

Initial download of the metrics may take a while.