Open Access

Fig. 12

image

Download original image

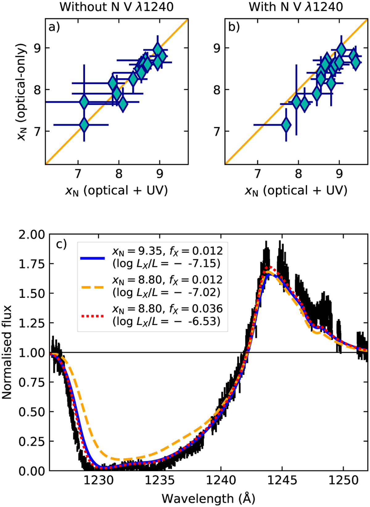
Effect of N v λλ1238-1242 on the derived nitrogen abundance. Panels a and b compare the nitrogen abundance of the presumed single stars, derived from the optical-only runs, to that derived from the optical + UV fits in case of excluding N V λλ1238-1242 (panel a) and in case of including N V λλ1238-1242 (panel b). In the fits where N V λλ1238- 1242 is included, the nitrogen abundance is systematically higher than the values found from the optical-only runs. In panel c) we show, as an example, the N V λλ1238-1242 doublet of Sk –67°167, with the best fit model of the optical + UV run including N V λλ1238-1242 (blue solid line), a model where we altered the nitrogen abundance to the optical- only best fit value (orange dashed line), and a model where, in addition, the X-ray volume filling fraction was increased (red dotted line). The models with a high nitrogen abundance and low X-ray volume filling fraction, and a lower nitrogen abundance and higher X-ray volume filling fraction are very similar and both match the observed spectrum.

Current usage metrics show cumulative count of Article Views (full-text article views including HTML views, PDF and ePub downloads, according to the available data) and Abstracts Views on Vision4Press platform.

Data correspond to usage on the plateform after 2015. The current usage metrics is available 48-96 hours after online publication and is updated daily on week days.

Initial download of the metrics may take a while.