Open Access

Fig. 4

image

Download original image

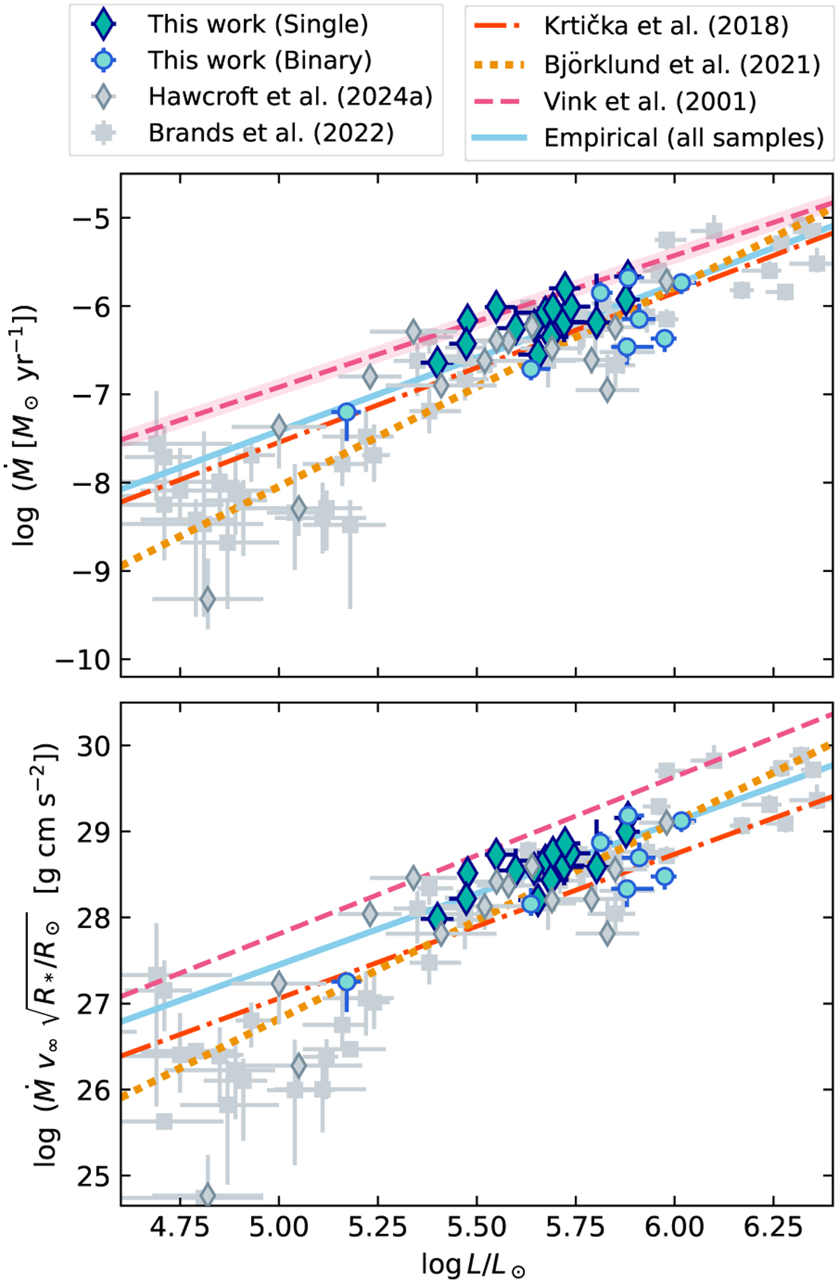
Mass-loss rates (top panel) and modified wind momentum (bottom panel) derived from the optical+UV analysis of the single stars (green diamonds) and binaries (blue circles), compared to the mass-loss predictions of Vink et al. (2001, pink dashed lines), Krtička & Kubát (2018, dark orange dashed-dotted lines), and Björklund et al. (2021, light orange dotted lines). The pink shaded region around the Vink et al. (2001) relation in the top panel indicates spread of the predicted rates due to the inclusion of stellar parameters other than luminosity (Teff and Mevol). In grey we show the LMC observations of Brands et al. (2022) and Hawcroft et al. (2024a). Most stars of our sample have mass-loss rates that are lower than the predictions of Vink et al. (2001), and higher than those of Krtička & Kubát (2018) and Björklund et al. (2021). The light blue solid lines shows the empirical relation obtained by fitting a linear relation through all points of the three samples combined; for the mass-loss rate, it shows a good agreement with the relation of Krtička & Kubát (2018), having nearly the same slope and an average offset of only ∼0.1 dex.

Current usage metrics show cumulative count of Article Views (full-text article views including HTML views, PDF and ePub downloads, according to the available data) and Abstracts Views on Vision4Press platform.

Data correspond to usage on the plateform after 2015. The current usage metrics is available 48-96 hours after online publication and is updated daily on week days.

Initial download of the metrics may take a while.