Open Access

Fig. 2.

image

Download original image

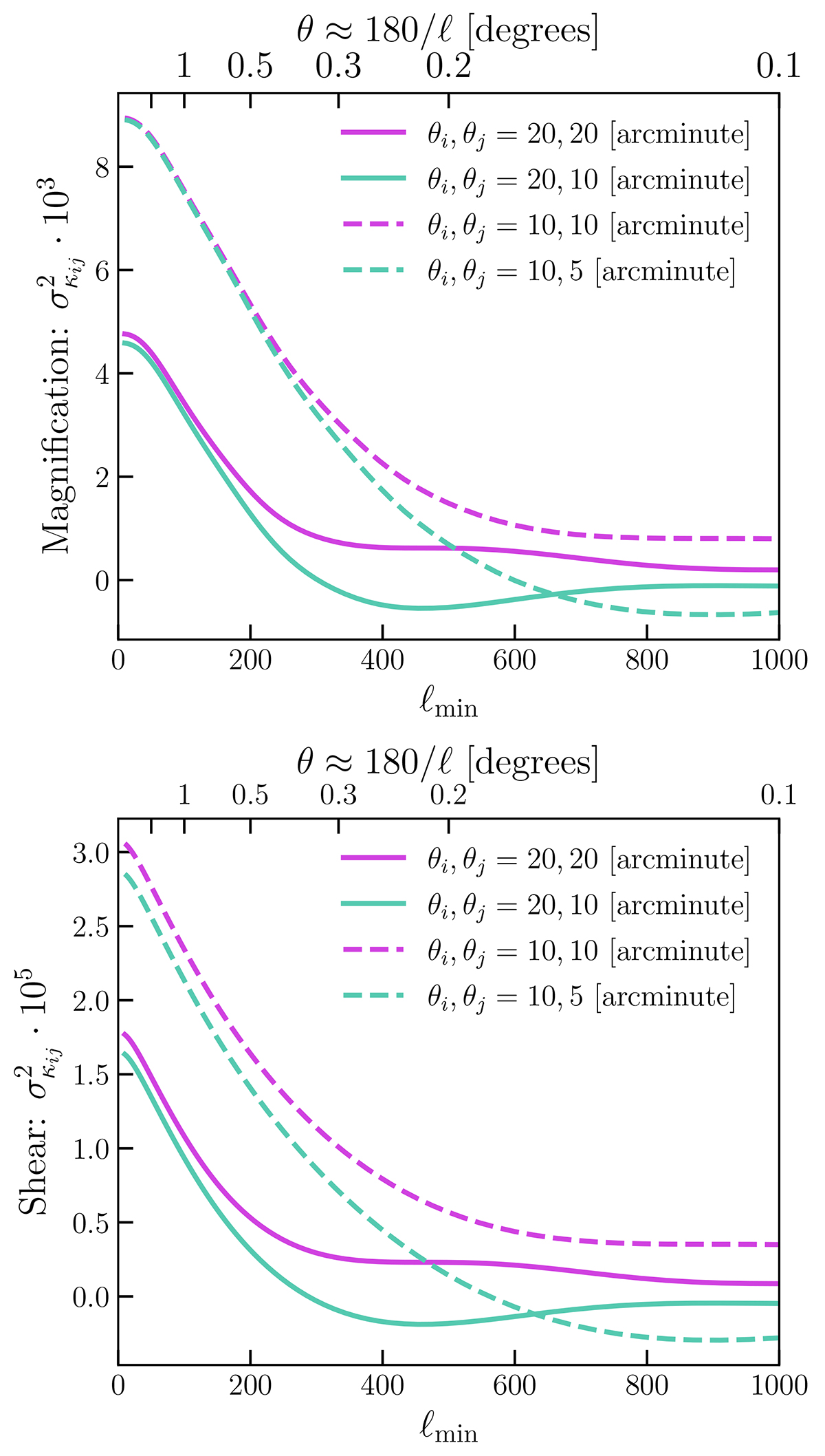
The noise covariance between radial bins as a function of the minimum used for the integration in Eq. (15). This shows how different multipoles contribute to the radial covariance. θi, θj refer to the radial bins used to compute the covariance. The figure shows both the diagonal and off-diagonal terms in the covariance. In the following, we consider the covariance between radial bins of width 1 arcminute. Top: Elements of the covariance matrix between radial bins for the magnification field. Bottom: Elements of the covariance matrix between radial bins for the shear field.

Current usage metrics show cumulative count of Article Views (full-text article views including HTML views, PDF and ePub downloads, according to the available data) and Abstracts Views on Vision4Press platform.

Data correspond to usage on the plateform after 2015. The current usage metrics is available 48-96 hours after online publication and is updated daily on week days.

Initial download of the metrics may take a while.