Open Access

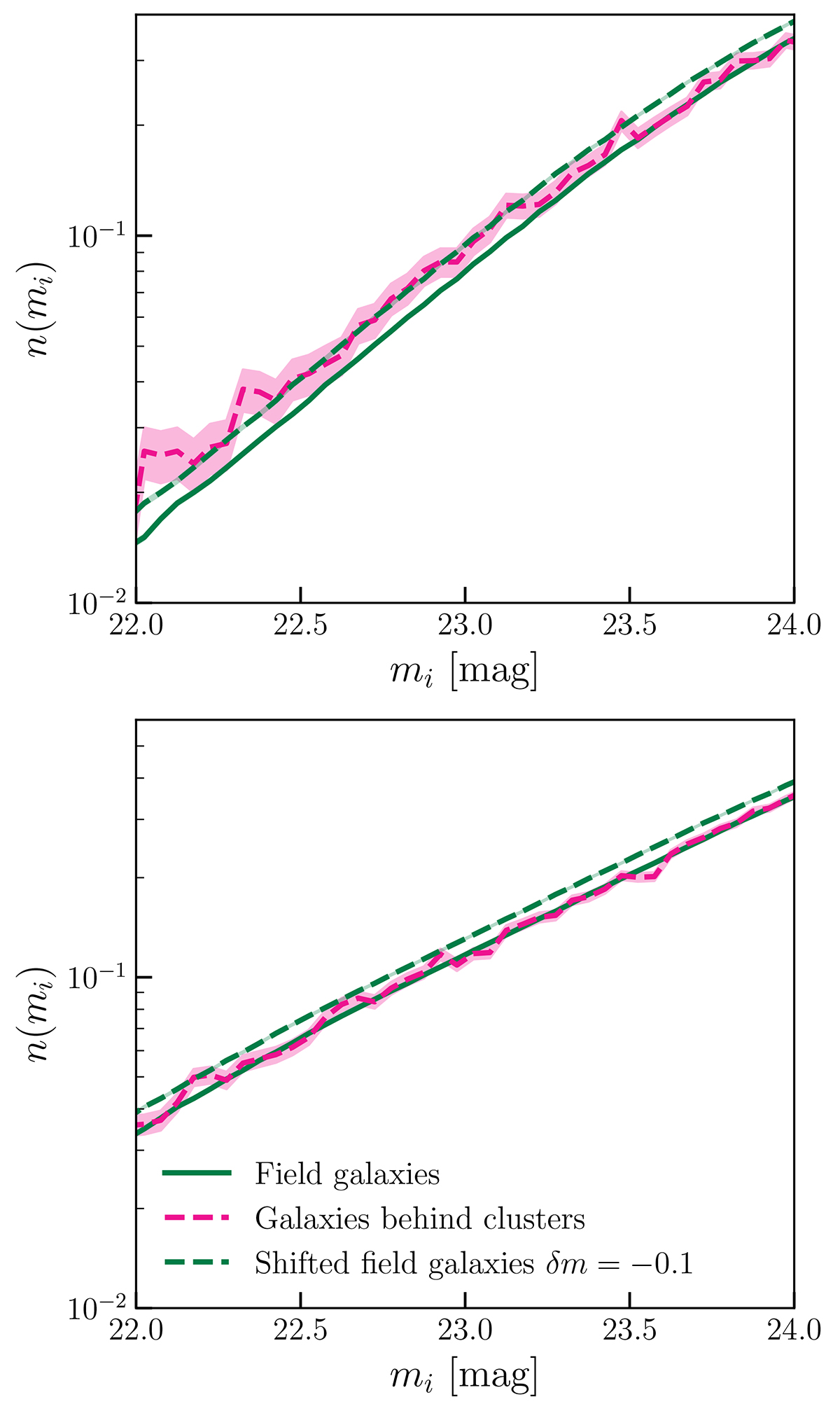
Fig. 4.

image

Download original image

Normalised magnitude distributions for two different background galaxy sample selections. We compare the magnitude distribution of galaxies in the field as compared to those within the fields of galaxy clusters. Field galaxies are from random points within the survey footprint. Top: Combined High-z and Low-z galaxy sample selection. Bottom: Photo-z selection. For comparison we add on the figure the shifted field galaxy magnitude distribution. This shift mimics the effect of weak-lensing magnification by the galaxy clusters upon their background galaxies. The error bars are Poisson noise from the discrete number of galaxies in each magnitude bin.

Current usage metrics show cumulative count of Article Views (full-text article views including HTML views, PDF and ePub downloads, according to the available data) and Abstracts Views on Vision4Press platform.

Data correspond to usage on the plateform after 2015. The current usage metrics is available 48-96 hours after online publication and is updated daily on week days.

Initial download of the metrics may take a while.