Open Access

Fig. 5.

image

Download original image

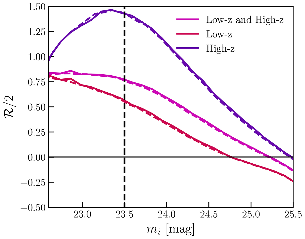
Response of the galaxy sample to the change in galaxy magnitudes from magnification and dilution. The solid lines are calculated with Eq. (32) and the dashed lines are calculated using Eq. (4) and the approximation used in Eq. (32). The dashed black line shows the magnitude cut used for our magnification fields, which gives a value of ℛ/2 = 0.77. This leads to ℛ = 1.54, which we used to convert the galaxy overdensity field into a magnification field.

Current usage metrics show cumulative count of Article Views (full-text article views including HTML views, PDF and ePub downloads, according to the available data) and Abstracts Views on Vision4Press platform.

Data correspond to usage on the plateform after 2015. The current usage metrics is available 48-96 hours after online publication and is updated daily on week days.

Initial download of the metrics may take a while.