Open Access

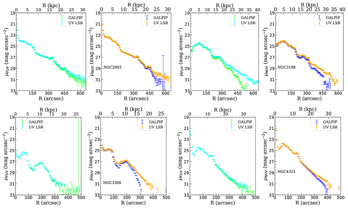
Fig. 11.

image

Download original image

Comparison of the surface brightness profiles of four galaxies using the standard GALEX pipeline (named GALPIP) and those derived here using a different estimation of the background (UV LSB). For each galaxy, the right panel is NUV and the left panel is FUV.

Current usage metrics show cumulative count of Article Views (full-text article views including HTML views, PDF and ePub downloads, according to the available data) and Abstracts Views on Vision4Press platform.

Data correspond to usage on the plateform after 2015. The current usage metrics is available 48-96 hours after online publication and is updated daily on week days.

Initial download of the metrics may take a while.