Open Access

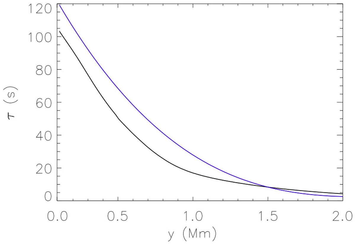
Fig. 7.

image

Download original image

Propagation time τ of Alfvén waves with height calculated in the WKB approximation (black line) and propagation time of the Alfvén pulse obtained from the model results (blue line).

Current usage metrics show cumulative count of Article Views (full-text article views including HTML views, PDF and ePub downloads, according to the available data) and Abstracts Views on Vision4Press platform.

Data correspond to usage on the plateform after 2015. The current usage metrics is available 48-96 hours after online publication and is updated daily on week days.

Initial download of the metrics may take a while.