Open Access

Fig. 1.

image

Download original image

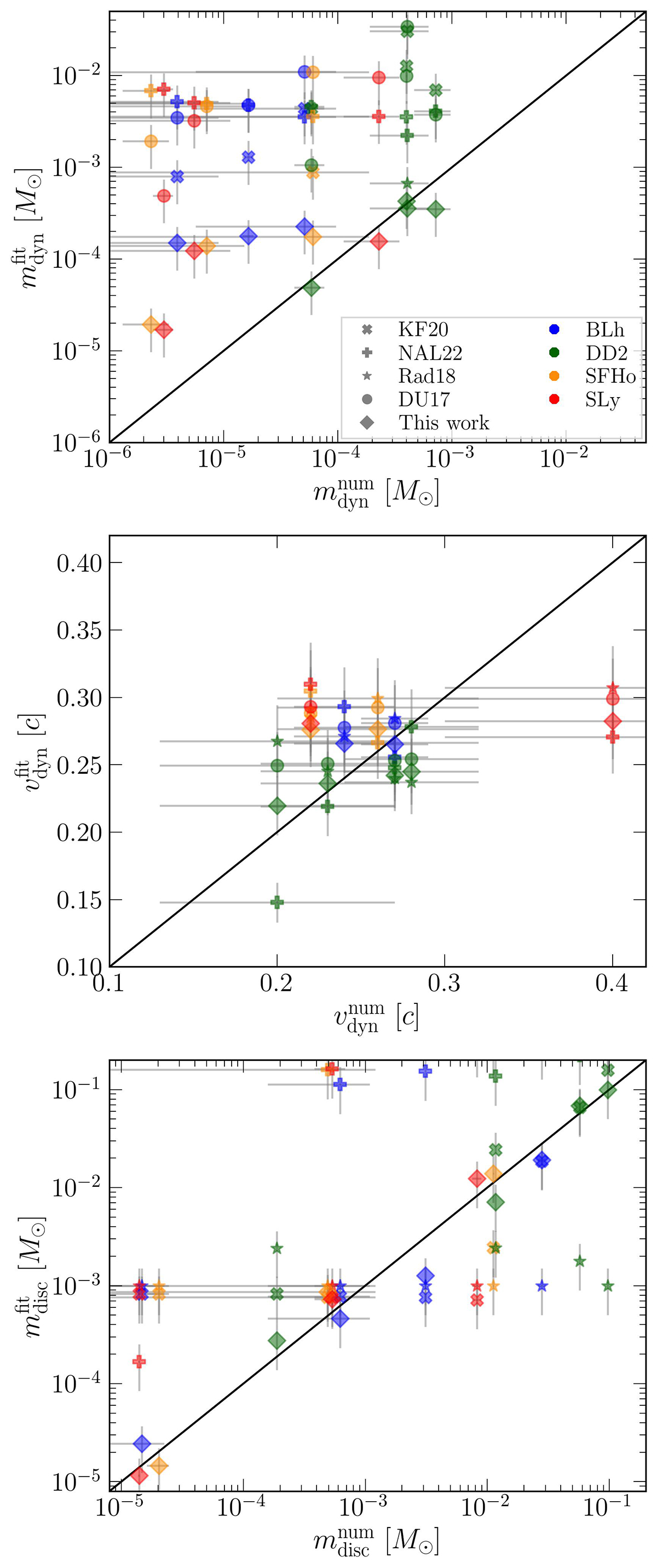
Mass and velocity of the dynamical ejecta and disc mass from GW190425-targeted numerical simulations in Camilletti et al. (2022) ( m dyn num $ m_{\rm dyn}^{\rm num} $, v dyn num $ v_{\rm dyn}^{\rm num} $, m disc num $ m_{\rm disc}^{\rm num} $), and the corresponding values computed by means of fitting formulae ( m dyn fit $ m_{\rm dyn}^{\rm fit} $, v dyn fit $ v_{\rm dyn}^{\rm fit} $, m disc fit $ m_{\rm disc}^{\rm fit} $). Different symbols correspond to the fitting formulae reported in KF20, NAL22, Rad18, DU17, and this work, while colours indicate the nuclear EOS. Error bars are estimated as in Camilletti et al. (2022): y-axis errors represent 50% (mdyn, mdisc) and 10% (vdyn) of the fit prediction, while x-axis errors represent the absolute difference between standard and low-resolution simulation results.

Current usage metrics show cumulative count of Article Views (full-text article views including HTML views, PDF and ePub downloads, according to the available data) and Abstracts Views on Vision4Press platform.

Data correspond to usage on the plateform after 2015. The current usage metrics is available 48-96 hours after online publication and is updated daily on week days.

Initial download of the metrics may take a while.