Open Access

Fig. 15.

image

Download original image

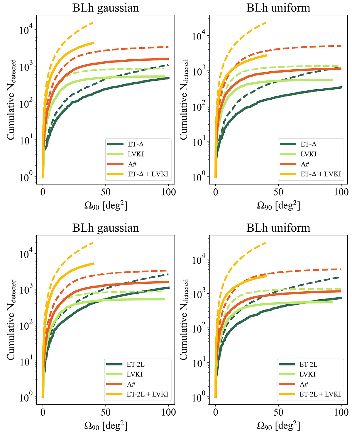
Cumulative number of GW detections (dashed lines) and corresponding KN counterpart detections by Rubin (solid lines) as a function of the sky localisation for upgrade configurations of the current detectors; LVKI and 3A#. As a comparison, we show ET alone and in a network with LVKI. The top panels refer to ET-Δ, while the bottom panels to ET-2L. The shown results are obtained using the fiducial population, the BLh EOS, both the uniform and Gaussian NS mass distributions, and 1ep strategy.

Current usage metrics show cumulative count of Article Views (full-text article views including HTML views, PDF and ePub downloads, according to the available data) and Abstracts Views on Vision4Press platform.

Data correspond to usage on the plateform after 2015. The current usage metrics is available 48-96 hours after online publication and is updated daily on week days.

Initial download of the metrics may take a while.