Open Access

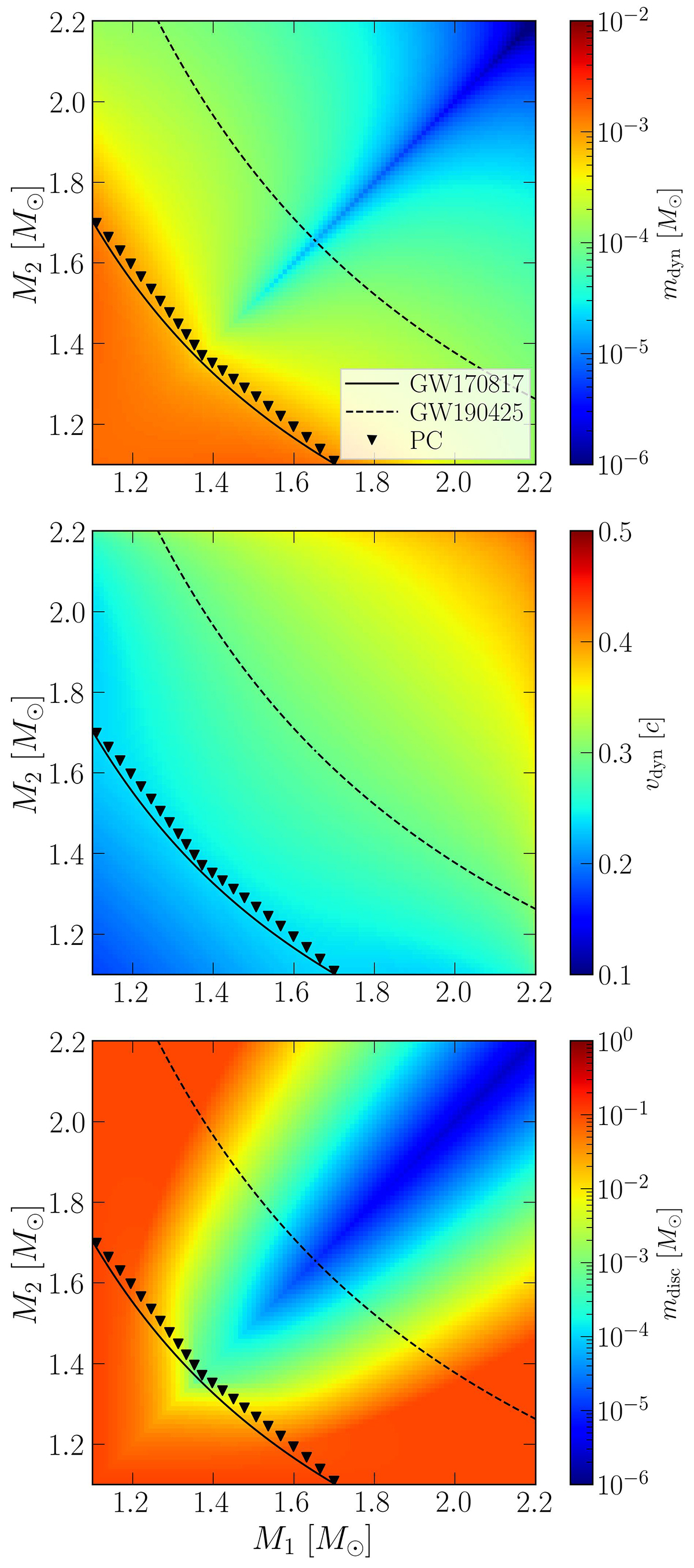
Fig. C.1.

image

Download original image

Mass of the dynamical ejecta (top), velocity of the dynamical ejecta (centre), and mass of the disc (bottom), as defined in Eq. (6)-(8) for the EOS APR4. x and y axes represent the BNS masses M1, M2. The solid and the dashed black lines mark the chirp mass of GW170817 and GW190425, respectively. The triangular markers show the prompt-collapse mass threshold MPC.

Current usage metrics show cumulative count of Article Views (full-text article views including HTML views, PDF and ePub downloads, according to the available data) and Abstracts Views on Vision4Press platform.

Data correspond to usage on the plateform after 2015. The current usage metrics is available 48-96 hours after online publication and is updated daily on week days.

Initial download of the metrics may take a while.