Open Access

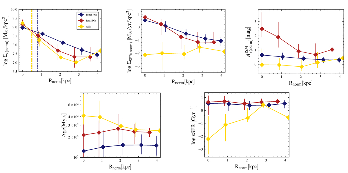
Fig. 11.

image

Download original image

From left to right and top to bottom: Stellar mass density (Σ), star formation rate density (ΣSFR), dust attenuation ( A v ISM $ A_{\mathrm{v}}^{\mathrm{ISM}} $), sSFR, and mass-weighted age normalized median radial profiles inferred using Cigale for BlueSFGs (in blue), RedSFGs (in red), and QGs (in yellow). Error bars represent the 68th and 32th quantiles of the distributions in each radial bin. In the Σ panel we indicate the (normalized) half-mass effective radius for each population with a vertical dashed line.

Current usage metrics show cumulative count of Article Views (full-text article views including HTML views, PDF and ePub downloads, according to the available data) and Abstracts Views on Vision4Press platform.

Data correspond to usage on the plateform after 2015. The current usage metrics is available 48-96 hours after online publication and is updated daily on week days.

Initial download of the metrics may take a while.