Open Access

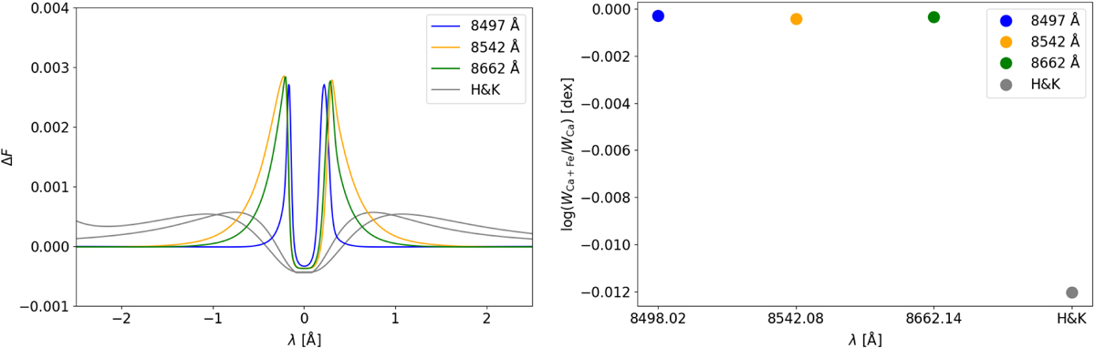
Fig. A.1

image

Download original image

Difference in normalised flux and equivalent width between synthetic spectra with both Fe and Ca in non-LTE, and with only Ca in non-LTE. Computed in 1D for a metal-poor giant: Teff = 5000 K, log g = 2.0 and [Fe/H] = −2.

Current usage metrics show cumulative count of Article Views (full-text article views including HTML views, PDF and ePub downloads, according to the available data) and Abstracts Views on Vision4Press platform.

Data correspond to usage on the plateform after 2015. The current usage metrics is available 48-96 hours after online publication and is updated daily on week days.

Initial download of the metrics may take a while.