Open Access

Fig. A.1.

image

Download original image

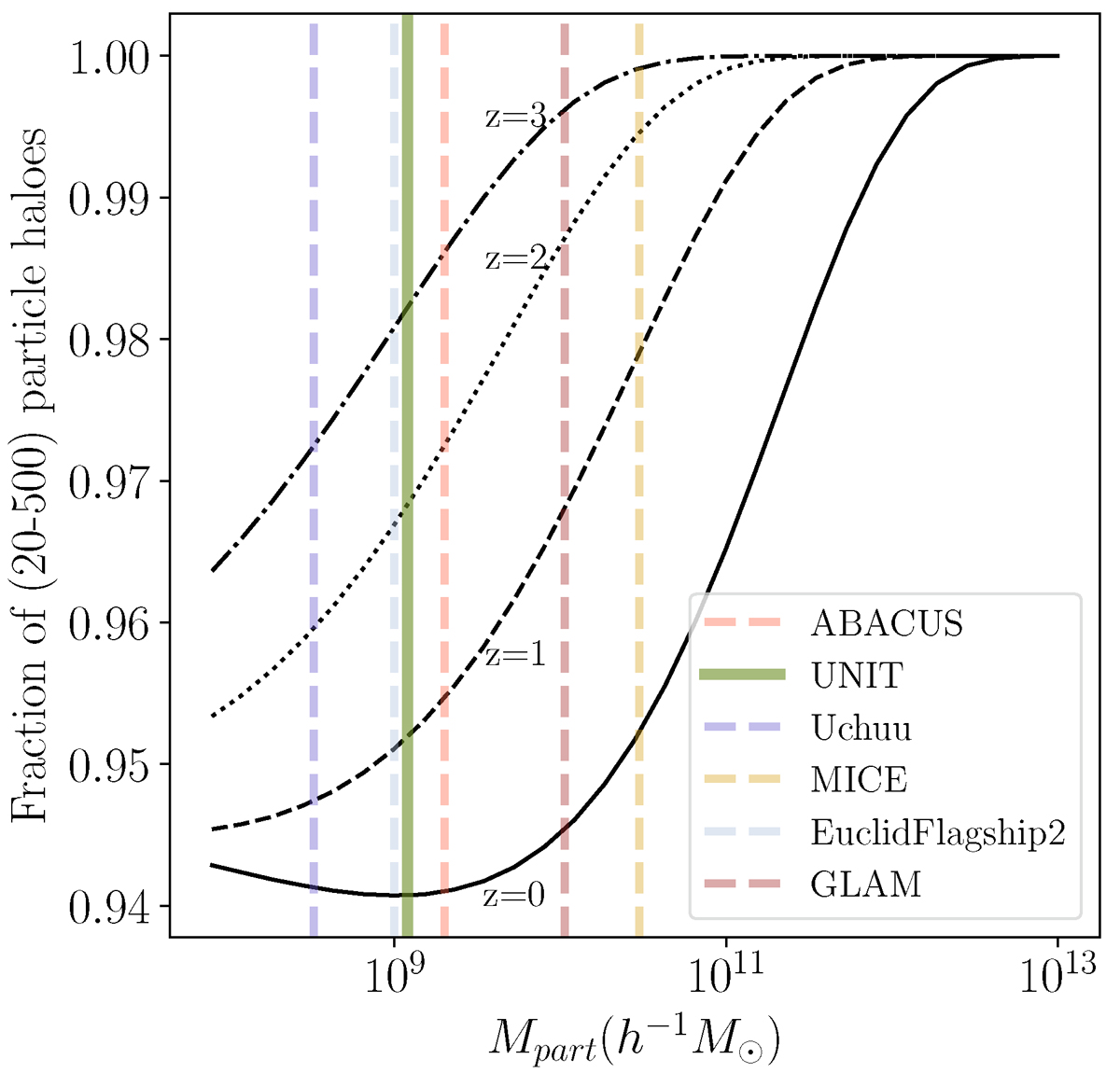
Fraction of the total haloes in a simulation formed by 20 to 500 particles, as a function of the particle resolution, Mpart, of a simulation. This fraction has been calculated using the Tinker et al. (2008) halo mass function with Planck-18 cosmological parameters (Planck Collaboration VI 2020) and varies for different redshifts (see labels in the figure). The vertical dashed lines of different colours indicate the location of state-of-the-art simulations, as indicated in the legend. The vertical solid green corresponds to UNIT, the simulation used in this work (Sect. 2). Over 90% of the haloes in these simulations have unresolved halo properties and this number increases for higher redshifts.

Current usage metrics show cumulative count of Article Views (full-text article views including HTML views, PDF and ePub downloads, according to the available data) and Abstracts Views on Vision4Press platform.

Data correspond to usage on the plateform after 2015. The current usage metrics is available 48-96 hours after online publication and is updated daily on week days.

Initial download of the metrics may take a while.