Open Access

Fig. B.1.

image

Download original image

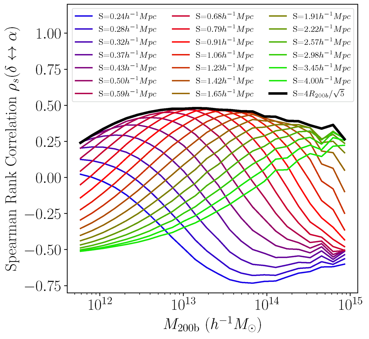
Spearman rank correlation between the tidal anisotropy and the overdensity as a function of halo mass. Different fixed Gaussian smoothing scales, S, have been used, as indicated by the legend. The solid black line indicates the Spearman rank correlation at a variable scale corresponding to the radius of the halo, i.e. 4 · R 200 b / 5 $ 4\cdot R_{200b}/\sqrt {5} $. Our chosen smoothing scale for the tidal anisotropy, 4·R200b, corresponds to the maximum correlation for any mass range considered, and the correlation at this scale envelopes the correlations computed at other smoothing scales.

Current usage metrics show cumulative count of Article Views (full-text article views including HTML views, PDF and ePub downloads, according to the available data) and Abstracts Views on Vision4Press platform.

Data correspond to usage on the plateform after 2015. The current usage metrics is available 48-96 hours after online publication and is updated daily on week days.

Initial download of the metrics may take a while.