Open Access

Fig. B.2.

image

Download original image

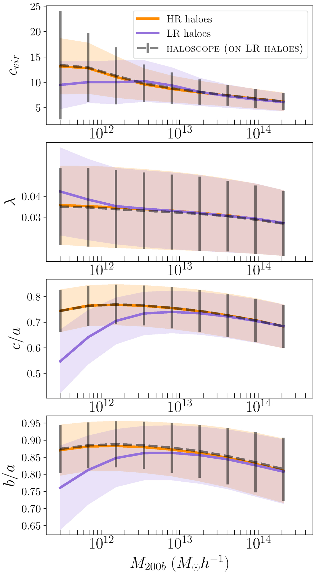
Median halo property (from top to bottom: concentration, spin, and shape) as a function of halo mass for HR (orange), LR (purple), and LR+HALOSCOPE (grey) haloes. The shaded regions show the 68 percentile. Our method recovers the HR median and 1σ scatter.

Current usage metrics show cumulative count of Article Views (full-text article views including HTML views, PDF and ePub downloads, according to the available data) and Abstracts Views on Vision4Press platform.

Data correspond to usage on the plateform after 2015. The current usage metrics is available 48-96 hours after online publication and is updated daily on week days.

Initial download of the metrics may take a while.