Open Access

Fig. 4.

image

Download original image

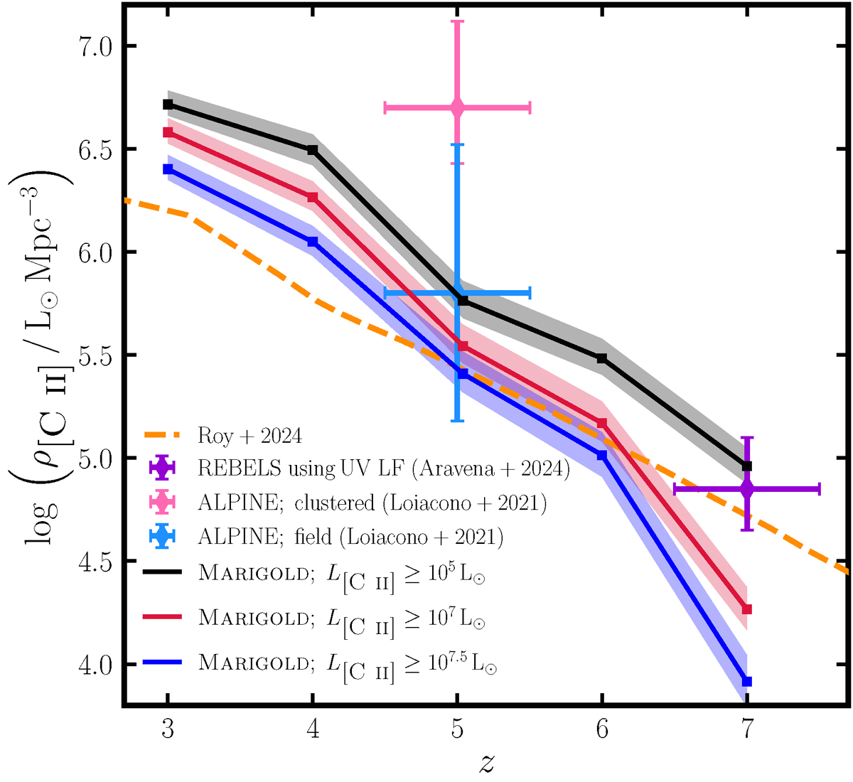
Comparison of the cosmic [C II] luminosity density (ρ[C II]) for different luminosity cuts in the MARIGOLD simulations with observational estimates from ALPINE (Loiacono et al. 2021) – clustered and field estimates in pink and blue, respectively; from REBELS (Aravena et al. 2024) in purple and from a semi-empirical model by Roy & Lapi (2025) shown as an orange dashed line. The ρ[C II] from the simulations is obtained by integrating the LFs shown in Fig. 3 down to log(Lmin/L) = 5 (black), 7 (red), and 7.5 (blue). The shaded regions represent the 16–84 percentile range of ρ[C II] obtained from the LFs.

Current usage metrics show cumulative count of Article Views (full-text article views including HTML views, PDF and ePub downloads, according to the available data) and Abstracts Views on Vision4Press platform.

Data correspond to usage on the plateform after 2015. The current usage metrics is available 48-96 hours after online publication and is updated daily on week days.

Initial download of the metrics may take a while.