Open Access

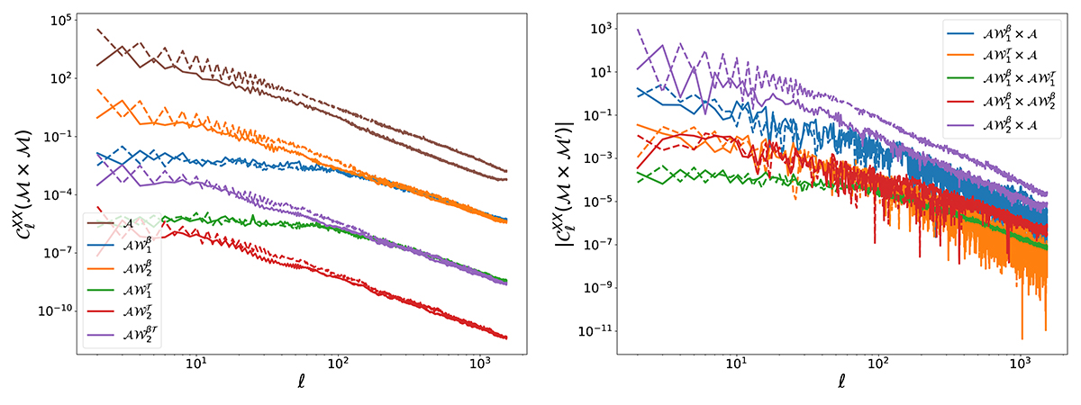
Fig. C.4.

image

Download original image

Full sky angular power spectra of the moment maps of d12. All the auto-spectra of the expansion up to second order are represented on the left panel while the dominant terms of the (absolute values of the) cross-spectra on the right panel. The full lines represent the BB spectra while the dashed lines represent the EE spectra. The spectra are expressed in units of ( μ K CMB ) 2 · K 2 α T $ (\mu {\mathrm {K}}_{CMB})^2\cdot {\mathrm {K}}^{-2\alpha _{{\cal {{T}}}}} $ where α T $ \alpha _{{\cal {{T}}}} $ is the order of the moment with respect to T $ {\cal {{T}}} $.

Current usage metrics show cumulative count of Article Views (full-text article views including HTML views, PDF and ePub downloads, according to the available data) and Abstracts Views on Vision4Press platform.

Data correspond to usage on the plateform after 2015. The current usage metrics is available 48-96 hours after online publication and is updated daily on week days.

Initial download of the metrics may take a while.